10.1002/ejp.4767
ARTÍCULO DE LA REVISTA EJP
Estrategia de investigación sobre el dolor para europa: sondeo europeo y documento de posicionamiento de la federación Europea del Dolor efic
A pain research strategy for europe: a european survey and position paper of the european pain federation efic
Gisèle Pickering1,2 0000-0001-9054-9379
Mary O’Keeffe3 0000-0001-7104-9248
Kirsty Bannister40000-0002-3043-3574
Susanne Becker50000-0002-5681-4084
Sonia Cottom6
Felicia J. Cox70000-0002-3624-6593
Elon Eisenberg80000-0003-3748-1349
David P. Finn90000-0001-6186-621X
Patrice Forget10,11,12,130000-0001-5772-8439
Thomas Graven-Nielsen140000-0002-7787-4860
Eija Kalso15,160000-0002-4899-605X
Magdalena Kocot-Kepska170000-0002-0392-2583
Hugo Leite-Almeida18,19,20
Jose Antonio Lopez-Garcia210000-0002-1725-6665
Mira Meeus22,23 0000-0002-2022-5114
André Mouraux240000-0003-1056-5980
Bruno Pereira25
Livia Puljak260000-0002-8467-6061
Michiel F. Reneman270000-0002-4058-3437
Iben Rohde28,29
Ioannis Sotiropoulos300000-0003-0115-0038
Nathan Skidmore310000-0002-7477-6720
Thomas R. Tölle320000-0003-4470-5531
Snezana Tomasevic Todorovic33,340000-0002-2908-3810
Andrea Truini350000-0002-2630-7647
Kevin E. Vowles360000-0003-4255-9067
Esther Pogatzki-Zahn370000-0003-0981-3940
Luis Garcia-Larrea380000-0002-9873-789X
Brona M. Fullen3,390000-0003-4408-2063
1Platform of Clinical Investigation, Inserm CIC 1405, University Hospital, CHU Clermont-Ferrand, Clermont-Ferrand, France
2Fundamental and Clinical Pharmacology of Pain, University Clermont Auvergne, Clermont-Ferrand, France
3UCD School of Public Health, Physiotherapy and Sports Science, University College Dublin, Dublin, Ireland
4Institute of Psychiatry, Psychology and Neuroscience, King’s College London, London, UK
5Clinical Psychology, Department of Experimental Psychology, Heinrich Heine University Düsseldorf, Düsseldorf, Germany
6Pain Association Scotland, Perth, Scotland
7Pain Management Service, Royal Brompton & Harefield hospitals, Part of Guy’s & St Thomas’ NHS Foundation Trust, London, UK
8Rappaport Faculty of Medicine, Technion – Israel Institute of Technology, Haifa, Israel
9Pharmacology & Therapeutics, School of Medicine, Galway Neuroscience Centre and Centre for Pain Research, University of Galway, Galway, Ireland
10Institute of Applied Health Sciences, Aberdeen Centre for Musculoskeletal Health (Epidemiology Group), School of Medicine, Medical Sciences and Nutrition, University of Aberdeen, Aberdeen, UK
11Department of Anaesthesia, NHS Grampian, University of Aberdeen, Aberdeen, UK
12Pain and Opioids after Surgery (PANDOS) ESAIC Research Group, European Society of Anaesthesiology and Intensive Care, Brussels, Belgium
13IMAGINE UR UM 103, Anesthesia Critical Care, Emergency and Pain Medicine Division, Nimes University Hospital, Montpellier University, Nimes, France
14Center for Neuroplasticity and Pain (CNAP), Department of Health Science and Technology, Aalborg University, Aalborg, Denmark
15Department of Anaesthesiology, Intensive Care and Pain Medicine, Helsinki University Hospital and University of Helsinki, Helsinki, Finland
16SleepWell Research Programme, Faculty of Medicine, University of Helsinki, Helsinki, Finland
17Department of Pain Research and Treatment, Jagiellonian University Medical College, Krakow, Poland
18Life and Health Sciences Research Institute (ICVS), School of Medicine, University of Minho, Campus de Gualtar, Braga, Portugal
19ICVS/3B’s - PT Government Associate Laboratory, Guimarães, Portugal
20Clinical Academic Center (2CA), Braga, Portugal
21Department of Systems Biology (Physiology), Universidad de Alcala, Alcala de Henares, Spain
22Pain in Motion International Research Consortium, Antwerp, Belgium
23MOVANT Research group, Department of Rehabilitation Sciences and Physical Therapy, Faculty of Medicine and Health Sciences, University of Antwerp, Antwerpen, Belgium
24Institute of Neuroscience (IONS), UCLouvain, Brussels, Belgium
25Clinical Research and Innovation Department, University Hospital Clermont-Ferrand, Clermont-Ferrand, France
26Centre for Evidence-Based Medicine and Health Care, Department of Nursing, School of Medicine, Catholic University of Croatia, Zagreb, Croatia
27Department of Rehabilitation Medicine, University Medical Center Groningen, University of Groningen, Groningen, The Netherlands
28Pain Alliance Europe (PAE), Brussels, Belgium
29FAKS – Foreningen af kroniske smerteramte og pårørende, Albertslund, Denmark
30Institute of Biosciences and Applications, National Centre for Scientific Research (NCSR) Demokritos, Agia Paraskevi, Greece
31School of Health and Life Sciences, Teesside University, Middlesbrough, UK
32Department of Neurology, Technische Universität München, Munich, Germany
33Faculty of Medicine, University of Novi Sad, Novi Sad, Serbia
34Medical Rehabilitation, Clinic University Clinical Centre of Vojvodina, Novi Sad, Serbia
35Department of Human Neuroscience, University Sapienza, Rome, Italy
36School of Psychology, Queen’s University Belfast & Belfast Centre for Pain Rehabilitation, Belfast Health and Social Care NHS Trust, Belfast, UK
37Department of Anaesthesiology, Intensive Care and Pain Medicine, University Hospital Muenster, Muenster, Germany
38Lyon Neurosciences Center Research Unit, INSERM U1028, & Claude Bernard University, Lyon, France
39UCD Centre for Translational Pain Research, Dublin, Ireland
RESUMEN
Antecedentes: El dolor es la causa principal de discapacidad y calidad de vida limitada en el mundo. A pesar de la carga creciente que esto supone para los pacientes y los sistemas sanitarios, la investigación sobre el dolor sigue disponiendo de una escasa financiación y un escaso enfoque. El hecho de que los asociados identifiquen y prioricen las áreas que necesitan ser abordadas con urgencia en este campo ayudará a decidir los temas a financiar, a reducir los “residuos de investigación”, a mejorar la eficacia de la investigación y la terapia del dolor y a estimular el uso de la evidencia de la investigación. En el presente estudio, la Federación Europea del Dolor (EFIC) ha desarrollado una Estrategia de Investigación sobre el Dolor para Europa.
Métodos: El estudio ha utilizado múltiples métodos, incluyendo búsquedas de literatura, debates de expertos multidisciplinares, un sondeo y una reunión de consenso final. El sondeo transversal se realizó entre 628 investigadores del dolor, médicos clínicos, educadores y profesionales de la industria europeos para obtener la clasificación y la jerarquía de las prioridades en la investigación sobre el dolor.
La reunión de consenso final involucró a un comité de expertos multidisciplinares incluyendo a personas con experiencia acumulada de 23 países. El sondeo muestra los debates guiados en los que se acordaron las máximas prioridades.
Resultados: El análisis del contenido identificó nueve temas de estudio en el sondeo, cinco de los cuales se revelaron como máximas prioridades: (i)?entender la fisiopatología del dolor; (ii) entender y tratar las comorbilidades;(iii) evaluar de forma crítica las terapias actuales; (iv) desarrollar nuevos tratamientos; y (v) explorar los impactos biopsicosociales del dolor. Se han priorizado los enfoques físico, psicológico y social en la misma medida que los tratamientos farmacológicos. Las máximas prioridades han sido respaldadas por un comité de expertos multidisciplinares. El comité destacó la importancia de comunicar también claramente los conceptos de predicción, autogestión de la prevención y gestión personalizada del dolor en la estrategia final.
Conclusiones: El contenido del listado final de las máximas prioridades de investigación refleja un enfoque holístico de la gestión del dolor. La importancia otorgada a partes iguales a los aspectos físicos, psicológicos y sociales junto a los tratamientos farmacológicos subraya la relevancia de contar con una estrategia completa de investigación con orientación biopsicosocial. El respaldo dado por el comité de expertos a las cinco máximas prioridades, unido al énfasis al comunicar los conceptos de predicción, prevención, autogestión y gestión personalizada del dolor, proporciona una dirección clara para la futura investigación básica, traslacional y clínica.
Relevancia: EFIC ha desarrollado una Estrategia de Investigación sobre el Dolor para Europa que identifica las áreas de investigación sobre el dolor que merecen mayor atención y apoyo financiero. La aplicación y la amplia difusión de dicha Estrategia son vitales para aumentar la realización de urgentes proyectos sobre el dolor, la financiación de la investigación sobre el dolor y la implementación práctica de los hallazgos de la investigación, con el fin último de reducir la carga personal, social y financiera del dolor.
ABSTRACT
Background: Pain is the leading cause of disability and reduced quality of life worldwide. Despite the increasing burden for patients and healthcare systems, pain research remains underfunded and under focused. Having stakeholders identify and prioritize areas that need urgent attention in the field will help focus funding topics, reduce ‘research waste’, improve the effectiveness of pain research and therapy and promote the uptake of research evidence. In this study, the European Pain Federation (EFIC) developed a Pain Research Strategy for Europe.
Methods: The study used multiple methods, including literature searches, multidisciplinary expert debate, a survey and a final consensus meeting. The cross-sectional survey was conducted among 628 European pain researchers, clinicians, educators and industry professionals to obtain the rating and hierarchy of pain research priorities. The final consensus meeting involved a multidisciplinary expert panel including people with lived experience from 23 countries. The survey results guided discussions where top priorities were agreed.
Results: Content analysis identified nine survey themes, of which five emerged as top priorities: (i) understand the pathophysiology of pain; (ii) understand and address comorbidities; (iii) critically assess current therapies; (iv) develop new treatments; and (v) explore the biopsychosocial impacts of pain. Physical, psychological and social approaches were prioritized at the same level as pharmacological treatments. The top priorities were endorsed by a multidisciplinary expert panel. The panel emphasized the importance of also clearly communicating the concepts of prediction, prevention self-management and personalized pain Management in the final strategy.
Conclusions: The content of the final top research priorities’ list reflects a holistic approach to pain management. The equal importance given to physical, psychological and social aspects alongside pharmacological treatments highlights the importance of a comprehensive biopsychosocial-orientated research strategy. The expert panel’s endorsement of five top priorities, coupled with an emphasis on communicating the concepts of prediction, prevention, self-management and personalized pain management, provides a clear direction for future basic, translational and clinical research.
Significance: EFIC has developed a Pain Research Strategy for Europe that identifies pain research areas deserving the most focus and financial support. Implementation and wide dissemination of this Strategy is vital to increase the conduct of urgent pain projects, pain research funding and the implementation of research findings into practice, to ultimately decrease the personal, societal and financial burden of pain.
Correspondencia: Brona M. Fullen
brona.fullen@ucd.ie
Recibido: 21-08-2024
Aceptado: 18-11-2024
Pickering G, O’Keeffe M, Bannister K, Becker S, Cottom S, Cox FJ, Eisenberg E, Finn DP, Forget P, Graven-Nielsen T, Kalso E, Kocot-Kepska M, Leite-Almeida H, Lopez-Garcia JA, Meeus M, Mouraux A, Pereira B, Puljak L, Reneman MF, Rohde I, Sotiropoulos I, Skidmore N, Tölle TR, Todorovic ST, Truini A, Vowles KE, Pogatzki-Zahn E, Garcia-Larrea L, Fullen BM. A pain research strategy for Europe: A European survey and position paper of the European Pain Federation EFIC. Eur J Pain. 2025;31(3):e4767. DOI: 10.1002/ejp.4767.
Este artículo se publicó originalmente en inglés. Revista de la Sociedad Española del Dolor es responsable de la exactitud de la traducción (Traductora: Ana María Rincón López. Traductora-Intérprete. Nº Traductora Jurada: 4220).
Los términos de la licencia del artículo se pueden encontrar en la versión original publicada en el European Journal of Pain.
INTRODUCCIÓN
El dolor es uno de los problemas de salud más frecuentes en Europa y en todo el mundo, el motivo más común por el que las personas buscan cuidados sanitarios y la causa principal de discapacidad y una calidad de vida limitada (1,2). El dolor crónico se define como el dolor que persiste o se repite durante más de 3 meses. Se puede clasificar como dolor crónico primario o secundario (3). Los problemas de salud relacionados con el dolor, como el dolor de cabeza (por ejemplo, la migraña) y los trastornos musculoesqueléticos (por ejemplo, dolor lumbar, dolor debido a osteoartritis de cadera y rodilla y dolor de cuello), son dos de los responsables principales de años vividos con discapacidad, según el Estudio Internacional sobre la Carga de las Enfermedades, las Lesiones y los Factores de Riesgo, que incluye una evaluación completa de la incidencia, la prevalencia y la discapacidad por 354 causas en 195 países y territorios (2). Recientemente pudo verse que la mayor parte de los países fracasan a la hora de priorizar los problemas de salud con relación a la carga que causan, lo que significa que los recursos destinados a mejorar los resultados de salud para las personas con esas enfermedades son insuficientes (4). A pesar de que la carga de la discapacidad causada por el dolor está aumentando y amenaza la sostenibilidad de los sistemas sanitarios europeos, la investigación sobre el dolor continúa recibiendo una financiación significativamente escasa si se la compara con otras áreas de la salud (1,5). Se considera que la inversión insuficiente en investigaciones importantes sobre la salud es uno de los principales factores responsables de las lagunas de conocimiento y del acceso deficiente a la atención sanitaria (6). La aplicación de la Estrategia de Investigación de EFIC representa para las entidades de financiación una oportunidad de liderazgo ofreciendo financiación para temas de investigación que fundamentalmente aporten valor a la sociedad/los pacientes.
Recientemente, la Comisión Europea llevó a cabo un análisis del alcance para identificar necesidades de investigación en problemas de salud de alta carga con investigación deficiente en la UE. Se identificaron varios problemas de salud con dolor que necesitan atención e innovación (7). El establecimiento de prioridades de investigación para el dolor significa un paso decisivo a la hora de atajar estas lagunas.
El establecimiento de prioridades de investigación involucra a los asociados en cuanto a la identificación, la priorización y la adopción de un consenso en áreas, cuestiones o temas que necesitan ser investigados (8,9,10). Promueve el uso y la aplicación de la evidencia de la investigación (9), garantiza un retorno óptimo de la investigación (11), reduce los “residuos de investigación” (12), fomenta la relevancia y la legitimidad de la investigación en general (9) y suele conllevar mejoras significativas en cuanto a la eficacia de la investigación y finalmente en cuanto a la terapia (13).
La publicación de hojas de ruta de investigación por parte de otras organizaciones profesionales ha movilizado con éxito a los investigadores a alinear sus proyectos con identificación de prioridades, para finalmente potenciar su implementación. Por ejemplo, tras la publicación de la Hoja de Ruta de Investigación de la Liga Europea Contra el Reumatismo (EULAR) los investigadores desarrollaron proyectos como el estudio de cohortes BIODAM y IMI-PRECISE, que se centraron en la medicina estratificada y los tratamientos personalizados para enfermedades reumáticas. Del mismo modo, el ensayo TREAT-EARLIER se alineó directamente con el enfoque de la hoja de ruta en el diagnóstico temprano y la prevención de la artritis reumatoide. La llamada de iniciativas de colaboración como ERA-NET NEURON también ha facilitado la investigación interdisciplinar a lo largo de Europa, convirtiendo la estrategia en acción. Estos ejemplos demuestran que la publicación de estrategias de investigación sirve no solo para establecer las prioridades, sino también para impulsar la implementación alineando esfuerzos de investigación y fomentando la acción coordinada en diferentes sectores. Creemos que nuestra estrategia de investigación será también catalizadora del avance en la investigación sobre el dolor movilizando a los investigadores y las entidades de financiación en torno a prioridades claras, sentando así las bases para otras iniciativas de implementación.
El objetivo del presente estudio ha sido el desarrollo de una Estrategia de Investigación sobre el Dolor para Europa. La Federación Europea del Dolor (EFIC) ha guiado el desarrollo colaborativo de un conjunto de prioridades de investigación. La Estrategia de Investigación sobre el Dolor para Europa ayudará a propugnar un aumento del apoyo y de la financiación, pero también, de una forma muy importante, a comunicar un conjunto claro de prioridades a todos los asociados de la investigación. Este esfuerzo conjunto pretende resaltar la importancia de la investigación sobre el dolor en Europa y facilitar la transformación de la investigación de alta calidad sobre el dolor en políticas y prácticas europeas.
MÉTODOS
Grupo de trabajo de la estrategia
El desarrollo de la Estrategia de Investigación sobre el Dolor para Europa fue una iniciativa del Comité de Investigación de EFIC. Comenzó en junio de 2021, con 14 personas formando un Grupo de Trabajo de la Estrategia de EFIC (EFIC-SWG), cuyos miembros fueron seleccionados en función de su experiencia clínica y de investigación (básica, traslacional y clínica) en medicina, neurociencia, fisioterapia, psicología y enfermería. Todos contaban al menos con 10 años de trabajo clínico/académico en el ámbito del dolor y una trayectoria rigurosa de publicaciones internacionales sobre varios aspectos del modelo biopsicosocial del dolor. El EFIC-SWG jugó un papel fundamental en el desarrollo de la metodología de la Estrategia de Investigación. Aconsejó sobre las estrategias de búsqueda de literatura, sugirió prioridades de investigación basándose en su experiencia, revisó las prioridades potenciales para su inclusión en el sondeo transversal y participó en reuniones para alcanzar un consenso sobre las prioridades de investigación en la versión final de la Estrategia de Investigación.
Grupo de trabajo ERA-NET Neuron
En julio de 2023, el EFIC SWG recibió financiación de ERA-NET NEURON (la Red de Financiación Europea para la Investigación en Neurociencia) para establecer un grupo de trabajo europeo con relación al futuro de la investigación sobre el dolor (Estrategia de Investigación sobre el Dolor para Europa: PRiSE). El objetivo de esta iniciativa era promover el desarrollo y la aplicación de la Estrategia de Investigación EFIC. El Grupo de Trabajo ERA-NET (ERA-NET WG) incluía a los 14 miembros del EFIC-SWG y se expandió incluyendo a 12 nuevos miembros que aportaron puntos de vista adicionales, así como experiencia clínica y de investigación de países europeos que no estaban representados inicialmente. Con un total de 26 personas de 23 países europeos, el ERA-NET WG mantuvo reuniones presenciales y en línea durante un período de 12 meses.
El objetivo principal de este proyecto financiado era alcanzar un consenso a propósito de las prioridades a incluir en la versión final de la Estrategia de Investigación sobre el Dolor para Europa y, fundamentalmente, maximizar su futura implementación identificando tanto los factores que la faciliten como los obstáculos en diversos contextos europeos.
El presente artículo centra la atención en el desarrollo de la Estrategia de Investigación sobre el Dolor para Europa.
Características del estudio
El desarrollo de la Estrategia de Investigación sobre el Dolor para Europa ha utilizado un enfoque iterativo multifacético, empleando múltiples métodos para garantizar puntos de vista y perspectivas amplios: consultas a expertos, revisiones de literatura para identificar prioridades potencialmente relevantes, un sondeo transversal de investigadores, médicos clínicos y profesionales del sector europeos y reuniones de consenso incluyendo al grupo inicial EFIC SWG y al ERA-NET WG (Figura 1). El EFIC SWG mantuvo reuniones en línea en distintas fases a lo largo del proyecto para ir transmitiendo información sobre la metodología y aportando actualizaciones del proyecto.

Figura 1. Síntesis de la metodología.
Consultas a expertos
Además de los dos Grupos de Trabajo, fueron consultadas varias organizaciones europeas con experiencia en el ámbito del dolor. El Foro Europeo del Dolor (que incluye a EFIC y otras 12 organizaciones de médicos, científicos y pacientes) identificó prioridades clave que el EFIC-SWG no había abordado aún. Es digno de mención el hecho de que Pain Alliance Europe sea miembro del Foro Europeo del Dolor. Esta organización paraguas paneuropea representa a más de 400.000 personas que viven con dolor crónico pertenecientes a 40 asociaciones nacionales de 17 países europeos.
Además, el Comité Ejecutivo de EFIC y algunos líderes clave de opinión de la comunidad EFIC (autores de documentos de posicionamiento previos, miembros del Comité de EFIC) hablaron también sobre un borrador del listado de prioridades y propusieron otras prioridades que consideraron importantes. Todas las recomendaciones que surgieron de estas consultas fueron analizadas por el EFIC SWG y tenidas en cuenta para su inclusión en un sondeo transversal.
Búsqueda de literatura
Se llevaron a cabo algunas búsquedas de literatura (incluyendo la literatura revisada por pares, Estrategias de Investigación sobre el Dolor existentes, documentos de posicionamiento y de opinión de EFIC y de la Asociación Internacional para el Estudio del Dolor (IASP) y listados de prioridades Cochrane) para identificar las prioridades de investigación sobre el dolor o lagunas de investigación propuestas previamente por médicos clínicos, personas que conviven con el dolor e investigadores (ver los detalles más adelante). Las prioridades surgidas de estas búsquedas fueron consideradas para su inclusión en el estudio transversal. Nuestro objetivo fue comunicar un conjunto de prioridades relevantes del ámbito del dolor en su totalidad; las prioridades de investigación amplias y generales se consideraron más relevantes que los temas de investigación muy sofisticados.
Búsqueda de literatura revisada por pares
Hemos llevado a cabo una revisión del alcance de proyectos previos de establecimiento de prioridades para problemas de salud con dolor y la hemos documentado de acuerdo con las recomendaciones de la extensión de PRISMA para revisiones del alcance [PRISMA-ScR] (14). No ha sido registrada prospectivamente, ya que PROSPERO no admite los registros de revisiones del alcance. Nuestro objetivo ha sido sintetizar las prioridades previamente identificadas.
Hemos incluido artículos que informaban sobre la priorización de investigación para cualquier tipo de problema de salud con dolor. Se han incluido los artículos si identificaban directamente las prioridades de investigación o las lagunas de investigación de los asociados, incluyendo a los médicos clínicos, los investigadores y los pacientes. No ha habido limitaciones en cuanto a características del estudio, edad de los participantes o contexto. Hemos excluido los estudios que informaban únicamente acerca de directrices clínicas o prioridades clínicas.
Llevamos a cabo la búsqueda en PubMed y EMBASE desde el comienzo hasta el 4 de julio de 2022 (y la actualizamos nuevamente el 24 de abril de 2023), sin restricciones en cuanto al idioma, utilizando cadenas de palabras clave relacionadas con el dolor y las prioridades de investigación. La búsqueda se estructuró en dos bloques unidos por el operador lógico “Y”, uno de ellos incluyendo términos relacionados con problemas de salud con dolor (80 términos de búsqueda), y el otro incluyendo términos relacionados con la investigación y agendas de prioridades (6 términos Mesh). La estructura de la búsqueda fue la siguiente: (“agenda de investigación” [Título/Abstract] O “prioridades de financiación” [Título/Abstract] O “establecimiento de prioridades” [Título/Abstract] O “establecimiento de agenda” [Título/Abstract] O “prioridades de investigación” [Título/Abstract] O prioridades [Título/Abstract]) Y (dolor O “dolor agudo” O “dolor crónico” O “dolor crónico no cancerígeno” O “dolor musculoesquelético” O fibromialgia O “dolor generalizado” O…) hasta 80 ítems relacionados con el dolor y con los problemas de salud. Los términos de búsqueda en su totalidad se aportan en el Archivo Adicional 1—Data S1. También realizamos la búsqueda de los listados de referencia de los artículos incluidos para identificar estudios relevantes adicionales.
El título y los abstracts de los artículos identificados fueron cribados de forma independiente por parte de dos autores (GP y MOK), quienes también obtuvieron y cribaron de forma independiente los textos completos de los artículos potencialmente elegibles. Nosotros no hemos evaluado la calidad metodológica de los estudios incluidos. Los datos siguientes fueron extraídos a un documento de Microsoft Word por un autor (MOK) de artículos elegibles: problema(s) de salud con dolor, prioridades de investigación identificadas, país, metodología y participantes en el establecimiento de prioridades (médicos clínicos, investigadores, personas que conviven con el dolor, legisladores, representantes de la industria, etc.). Los resultados fueron presentados de forma descriptiva.
Revisión de estrategias de investigación sobre el dolor disponibles públicamente
Hemos llevado a cabo la revisión de una muestra de conveniencia de cuatro estrategias internacionales de investigación sobre el dolor que eran conocidas por la Dirección Ejecutiva de EFIC ya que habían suscitado amplias recomendaciones recientemente. Los criterios clave para su selección fueron la difusión internacional, la exhaustividad, la variedad de países europeos representados, y la inclusión de publicaciones con sede en Estados Unidos accesibles recientemente. Estas fueron UK Versus Arthritis Roadmap (15), US National Institutes for Health (NIH) Pain Research Strategy (16), EULAR RheumaMap (17) y German Pain Society Research Strategy (18). Las estrategias fueron leídas y los datos fueron extraídos por parte de dos autores (GP y MOK).
Revisión de las prioridades en el dolor para pacientes, cuidadores y médicos clínicos según James Lind Alliance
James Lind Alliance (JLA) es una prominente iniciativa sin ánimo de lucro que reúne a pacientes, cuidadores y profesionales sanitarios en Colaboraciones en el Establecimiento de Prioridades, para que identifiquen y prioricen las cuestiones sin respuesta sobre los problemas de salud que acuerden como las más importantes. Un autor (MOK) revisó en la correspondiente página web las Colaboraciones en el Establecimiento de Prioridades para las prioridades sobre el dolor y extrajo las relevantes.
Revisión de los listados de prioridades Cochrane
Hemos revisado el Grupo de Métodos de Establecimiento de Prioridades Cochrane y el Cuidado para el Dolor, Paliativo y de Apoyo Cochrane con sus listados de prioridades para las evaluaciones sobre el dolor. Un autor (MOK) revisó estas páginas web y sus cuestiones de evaluación de prioridades relacionadas con el dolor y extrajo las relevantes.
Revisión de los documentos de posicionamiento y opinión de EFIC y de IASP
Hemos revisado los documentos publicados de posicionamiento y de opinión de EFIC y de IASP (19,20,21,22,23,24,25,26). Un autor (MOK) revisó los ocho documentos y extrajo las prioridades de investigación sugeridas.
Dichas aportaciones fueron analizadas y combinadas con los resultados de las búsquedas de literatura y las prioridades propuestas por el EFIC-SWG para desarrollar los ítems finales del sondeo. El EFIC-SWG evaluó los aspectos comunes y los solapamientos de las sugerencias de prioridades recibidas, y elaboró metaprioridades, de modo que propuestas similares de distintas fuentes pudieran desaparecer dando lugar a un único ítem para el sondeo. Algunas de las propuestas recibidas no fueron incorporadas al sondeo porque su tema fue considerado demasiado selectivo para ser de interés general (por ejemplo, la investigación acerca de una medición de resultados específica para la enfermedad de Parkinson) o porque la propuesta llegó cuando el sondeo había finalizado. El resultado de este análisis fue una serie compacta de 100 ítems básicos que fueron difundidos a modo de sondeo web para ser valorados y jerarquizados por parte de los individuos encuestados.
Sondeo europeo transversal
Con el fin de recibir información de médicos clínicos e investigadores con experiencia que responden de forma individual (es decir, que no representan a una organización), se llevó a cabo mediante el software SurveyMonkey un sondeo transversal en línea (en web y por email) entre el 18 de octubre de 2022 y el 15 de enero de 2023. El sondeo no requirió que los participantes se registrasen aportando sus datos ni una contraseña (“sondeo abierto”). La introducción del sondeo consistió en una página con información para los participantes, incluyendo la duración estimada de cumplimentación de la encuesta, el carácter voluntario del estudio, las técnicas de almacenamiento de datos, el listado de investigadores y el objetivo del sondeo, tras lo que se obtuvo una confirmación del consentimiento informado de todos los participantes utilizando la función de marcar una casilla. SurveyMonkey no proporcionó información de carácter personal al equipo de investigación. Hicimos una prueba piloto de nuestro sondeo con cinco miembros del equipo EFIC antes del reclutamiento, y de este modo pudimos efectuar revisiones de datos, corregir errores tipográficos del sondeo y formularios con información para los participantes y evaluar la facilidad de uso del sondeo y la funcionalidad técnica del mismo.
El sondeo fue notificado de conformidad con la Lista de cotejo para la notificación de resultados de los sondeos electrónicos a través de internet (CHERRIES) (27). Se obtuvo la aprobación ética por parte del Hospital Universitario Clermont-Ferrand, Francia (número IRB 2022-CF034).
Publicidad y reclutamiento: el sondeo se publicitó únicamente en línea y los participantes fueron reclutados para participar en él a través de distintas vías de internet.
Participantes y procedimiento: los participantes incluyeron a investigadores, médicos clínicos, educadores, o representantes de la industria interesados en el dolor con sede en Europa. Los ítems del sondeo fueron seleccionados basándose en las búsquedas de literatura, la revisión de estrategias disponibles públicamente y la consulta a expertos, como se ha explicado anteriormente. El sondeo se realizó únicamente en inglés e incluyó 131 ítems. Incluyó 100 prioridades de investigación especificadas para ser evaluadas. Los otros 31 ítems tenían relación con el consentimiento, datos demográficos (título profesional, género, número de años tras el doctorado, cargo profesional, disciplina/ámbito de trabajo, país de residencia y campos de investigación principales), y sugerencias de nuevos ítems no incluidos en el sondeo.
A los participantes se les pidió que evaluasen la importancia relativa de cada prioridad potencial con una escala de seis puntos pasando de “Sumamente importante” a “Nada importante”, con los ítems adicionales de “No tengo opinión al respecto” y “No lo sé”. También se pidió a los participantes que evaluasen grupos de prioridades similares en orden de importancia (por ejemplo, las centradas en fisiopatología, diagnóstico y medición y tratamiento clínico). Se les animó a responder a ítems relacionados con su propia experiencia de investigación básica, traslacional y clínica. Por ejemplo, un investigador científico básico tenía la posibilidad, aunque no se le exigía, de evaluar la importancia según su percepción de una prioridad clínica fuera de su campo de experiencia. Se dio también a los participantes la oportunidad de sugerir prioridades adicionales que no estaban incluidas en el sondeo (Archivo Adicional 7—Data S1). Se puede acceder al sondeo completo en el Archivo Adicional 2—Data S1.
Análisis: se llevaron a cabo análisis cuantitativos y cualitativos.
Cualitativos (análisis de contenido): para organizar nuestra estrategia de investigación de forma eficaz, agrupamos los 100 ítems del sondeo con prioridades de investigación en categorías amplias. Utilizamos análisis de contenido para ayudar a identificar temas o conceptos importantes en datos cualitativos –en este caso, las palabras utilizadas en cada pregunta del sondeo–. Este enfoque (28) supuso varias fases.
Análisis cuantitativo: Se utilizaron estadísticas descriptivas (cantidades y porcentajes) para sintetizar las características de los participantes y analizar la importancia evaluando la lista propuesta de prioridades de investigación en el sondeo.
La estratificación de las respuestas del sondeo mediante presentación gráfica y umbralización se llevó a cabo (por BP y GP) utilizando histogramas polares. Cada ítem del sondeo fue clasificado en función del porcentaje de respuestas que recibió (desde “sumamente importante” hasta “nada importante” y “sin opinión al respecto”).
Los ítems fueron entonces clasificados en orden o prioridad descendente de acuerdo con la Importancia Total (es decir, la suma de los porcentajes para los índices “sumamente importante” e “importante”). Los ítems clasificados en el primer cuartil (Q1) de la distribución de valores positivos fueron considerados prioridades de primer nivel (“máximas”). Un modelo mixto ANOVA se llevó a cabo para analizar la distribución de valores de respuesta con los 100 ítems, utilizando un “tipo de respuesta” dentro del factor (cuatro niveles: “sumamente importante”; “importante”; “no muy importante” y “nada importante”) y un “cuartil” entre factores (cuatro niveles Q1 – Q4). Este análisis investigó específicamente la interacción entre el cuartil y la distribución de respuestas desde “sumamente importante” hasta “nada importante”.
Se utilizó un análisis de varianza factorial para comparar el número de personas que respondieron a los ítems del sondeo en los cuatro cuartiles.
Se llevó a cabo un análisis Linear Pearson de regresión producto-momento entre el orden de aparición de cada ítem y el número de personas que respondieron a cada uno de ellos, para examinar el posible efecto de la fatiga del participante en las respuestas a los ítems presentados en momentos distintos de la encuesta, distinguiendo entre los que aparecieron antes y después en la secuencia.
Se realizaron comparaciones de tres por dos entre las respuestas para cada ítem y el sexo y la profesión (médico clínico, investigador, médico clínico e investigador), utilizando el test de chi-cuadrado o test exacto de Fisher de acuerdo con la naturaleza categórica de los ítems.
Reunión de consenso final
El proceso del consenso tuvo lugar durante una reunión híbrida de un día (5 de abril de 2024 en Bruselas) con n = 27 participantes de los WG EFIC y ERA-NET. En la reunión se discutieron los resultados del sondeo y se utilizó un formato de World Café ((https://theworldcafe.com/), para incluir los resultados en el contexto de la experiencia de los miembros del comité. Los participantes pudieron abordar otras prioridades y explorar las razones de las disparidades en las evaluaciones de prioridades. El objetivo general era debatir y recomendar prioridades de investigación basándose en los hallazgos del sondeo, y después presentar una propuesta final con el apoyo de EFIC. Antes de la reunión, todos los miembros del grupo de trabajo recibieron un documento con información pertinente sobre el progreso del desarrollo de la estrategia de investigación. El programa de la reunión incluyó presentaciones sobre la situación de la estrategia de investigación, con los métodos utilizados, los resultados de las revisiones de literatura y los hallazgos del sondeo.
Posteriormente, los participantes entablaron debates organizados en cuatro grupos más pequeños, uno de los cuales se desarrolló de forma virtual. Uno de los miembros (LGL) facilitó los debates tras la presentación, mientras que los grupos más pequeños fueron facilitados por cuatro miembros (BMF, MOK, LGL y EPZ). Cada uno de los subgrupos recibió la tarea de abordar dos cuestiones.
Las opiniones y percepciones recopiladas de todos los subgrupos como respuesta a las tres preguntas fueron entonces presentadas a todo el grupo por parte de los facilitadores de los subgrupos (BMF, MOK, LGL y EPZ) para favorecer un debate y un intercambio de ideas más amplios.
RESULTADOS
Revisión de la literatura y análisis de las agendas de investigación existentes
Búsqueda de literatura revisada por pares
Recuperamos 5268 registros de bases de datos electrónicas. Tras excluir 1443 duplicaciones, cribamos 3825 estudios potencialmente relevantes por título y abstract. De estos, se evaluó el texto completo de 112 estudios por su eligibilidad, y 87 de ellos fueron finalmente incluidos en la revisión (Figura 1). El listado de artículos excluidos está disponible en el Archivo Adicional 3—Data S1. Esto tuvo como resultado 872 prioridades sugeridas en la literatura revisada por pares, cuyo listado completo se aporta en el Archivo Adicional 4—Data S1.
Revisión de propuestas de estrategias de investigación sobre el dolor disponibles públicamente
Se propuso un total de 253 prioridades por parte de las cuatro estrategias de investigación sobre el dolor que revisamos, muchas de las cuales se solapaban con las recuperadas de la literatura revisada por pares: Versus Arthritis Roadmap (15) propuso 14 prioridades de investigación, todas ellas sobre el dolor musculoesquelético; EULAR RheumaMap (17) sugirió 99 prioridades de investigación en distintos tipos de artropatías, dolor de espalda y cuello, síndrome del túnel carpiano y fibromialgia; US NIH Pain Research Strategy (16) propuso 50 prioridades sobre tratamientos farmacológicos y no farmacológicos, herramientas de cribado y prevención, registros y conjuntos de datos, medicina de precisión y transición del dolor agudo al crónico; German Pain Society Research Strategy (18) elaboró 90 propuestas muy completas que abarcan prácticamente todos los aspectos del dolor agudo y crónico.
Revisión de las prioridades en el dolor para pacientes, cuidadores y médicos clínicos según Hames Lind Alliance
Las búsquedas en la página web de James Lind Alliance revelaron 308 prioridades en 47 colaboraciones para el establecimiento de prioridades.
Revisión de los listados de prioridades Cochrane
Encontramos únicamente un listado de prioridades (Cochrane Musculoesquelético) con 14 prioridades relacionadas con los tratamientos para la osteoartritis y la artritis reumatoidea.
Revisión de los documentos de posicionamiento y de opinión de EFIC y de IASP
Del análisis de ocho artículos surgieron sesenta y ocho sugerencias de prioridades, incluyendo directrices sobre el dolor neuropático, el síndrome de dolor regional complejo (SDRC) y el dolor por cáncer, el uso de opioides y medicamentos a base de cannabis, problemas sociales e investigación traslacional. Para revisar todas las prioridades, ver Archivo Adicional 5—Data S1.
Consultas a expertos
2A. Consultation with European Pain Forum brindó 40 prioridades, recogidas en el Archivo Adicional 6—Data S1. Estas incluyeron la evaluación de la calidad de las medidas de resultados informadas por el paciente (PROM) y de los métodos de evaluación informados por el paciente (PREM) y una serie de recomendaciones sobre el dolor en problemas neurológicos, intervenciones multimodales, uso de sustancias / adicción a sustancias, seguridad del paciente, datos clínicos multicéntricos y registros de dolor. Las personas que conviven con el dolor representadas en Pain Alliance Europe sugirieron la inclusión de personas que conviven con dolor en el desarrollo de PROM y PREM, estableciendo un patrón de oro para los programas de autogestión y la evaluación de los beneficios y perjuicios de las terapias asistidas con psicodélicos para el dolor.
2B. El Comité Ejecutivo de EFIC y algunos líderes clave de opinión de la comunidad EFIC sugirieron 10 prioridades, incluyendo el dolor en distintos trastornos neurológicos y el cáncer y el desarrollo de la neuromodulación y la medicina digital.
Los resultados de las búsquedas de literatura (1A–E) fueron analizados y combinados con la aportación de las consultas a expertos (2A-B) y las prioridades propuestas por el Committee Working Group –Grupo de Trabajo del Comité–, para desarrollar los 100 ítems finales de prioridad de investigación del sondeo.
Sondeo transversal
Muestra
Según las estadísticas de Google Analytics, la página web de EFIC con el enlace a la encuesta fue visitada por 1053 usuarios únicos entre octubre de 2022 y enero de 2023. Un total de 628 individuos cumplimentaron el formulario de consentimiento y respondieron al sondeo. Aunque esto representa al 59,6 % de los que accedieron a la página, no todos los participantes en el sondeo respondieron a todos los ítems. El número promedio de respuestas por ítem fue 331 ± 29, es decir, aproximadamente la mitad de los participantes por ítem y hubo una correlación negativa significativa entre el número de orden de los ítems y el número de respuestas recibidas (r = −0,86; p < 0,001). Los datos demográficos de los participantes clave se resumen en la Tabla 1.

Análisis de contenido de los ítems del sondeo
El análisis de contenido dio como resultado un marco de codificación de nueve categorías/temas. El nivel de concordancia entre los dos investigadores codificando una muestra de respuestas al azar fue sustancial a “casi perfecta” en los nueve temas (k = 0,81–0,97).
Tema 1: Entender mejor la fisiopatología del dolor.
Esto incluía cuestiones sobre la comprensión de los procesos y mecanismos biológicos subyacentes en la aparición, la progresión y las manifestaciones del dolor y la discapacidad asociada al dolor y el descubrimiento de objetivos potenciales y biomarcadores para las intervenciones terapéuticas.
Tema 2: Mejorar la evaluación y las herramientas de diagnóstico/pronóstico.
Esto incluyó preguntas sobre el desarrollo y la validación de medidas de resultados, herramientas de diagnóstico, herramientas de pronóstico y predicción, incluyendo una mejora de las medidas de resultados informadas por el paciente para distintos problemas de salud, pruebas de biomarcadores, dolor multidimensional y perfiles de discapacidad y estratificación del riesgo (por ejemplo, resultado malo y transición hacia el dolor crónico / la discapacidad).
Tema 3: Nuevos tratamientos.
Esto supone distintos tipos de tratamiento, incluyendo el farmacológico, intervencionista (por ejemplo, neuromodulación), y tratamientos conductuales centrados en la persona (por ejemplo, terapias de ejercicio y psicológicas). Se incluyeron preguntas sobre el hecho de descubrir y probar nuevos tratamientos, reformular el propósito del tratamiento para nuevos usos y cuidados preventivos (por ejemplo, prevención secundaria para problemas de salud con riesgo alto de recurrencia).
Tema 4: Explorar los beneficios, los perjuicios, los costes y la aceptabilidad de las pruebas y los tratamientos.
Se incluyeron preguntas que abordaron las pruebas y los tratamientos, incluyendo métodos digitales, basándose en su coste, eficacia, modo de administración, impacto en la calidad de vida y ratio beneficio/perjuicio, así como estrategias para aumentar la adherencia del paciente a pruebas o tratamientos.
Tema 5: Explorar los mecanismos de distintos tratamientos.
Se incluyeron preguntas sobre los mecanismos (por ejemplo, procesos biológicos, psicológicos y sociales) mediante los cuales las intervenciones terapéuticas producen sus efectos sobre el dolor, la discapacidad y la calidad de vida.
Tema 6: Incorporar la voz del paciente a la investigación.
Se incluyeron preguntas sobre la posibilidad de involucrar a personas con una experiencia de vida con dolor a la hora de codiseñar cuestiones de investigación y estudios.
Tema 7: Evaluar el impacto biopsicosocial y colectivo del dolor.
Se incluyeron preguntas sobre la comprensión de las consecuencias del dolor en los individuos, las comunidades y las sociedades, la prevalencia, incidencia y distribución del dolor en las poblaciones, la utilización de los servicios sanitarios, los costes, la calidad de vida, el funcionamiento, los deterioros y el impacto en el trabajo y la productividad.
Tema 8: Entender y abordar mejor las comorbilidades del dolor.
Se incluyeron preguntas sobre la obesidad, los trastornos del sueño y del ánimo, los trastornos por consumo de sustancias y su epidemiología y prevalencia, el impacto en los resultados del dolor, mecanismos de impacto y tratamiento.
Tema 9: Mejora traslacional y en la implementación de la mejor evidencia.
Se incluyeron preguntas sobre la eliminación de las brechas entre los hallazgos de la investigación científica básica, preclínica y clínica y su aplicación en entornos de la vida real para mejorar los resultados de los servicios sanitarios y el conocimiento del público y los pacientes, y para informar sobre las políticas y las prácticas.
Análisis cuantitativos
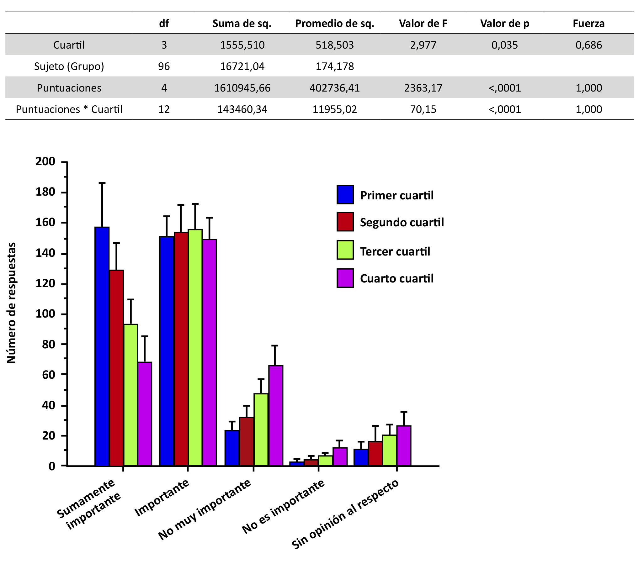
La Figura 2 y Figura 3 ilustran las prioridades con códigos de color de acuerdo con las puntuaciones recibidas y mostradas como un diagrama polar según su orden real de presentación (Figura 3) o clasificadas según las posiciones atribuidas por quienes respondieron al sondeo (Figura 4). Los ítems del sondeo se clasificaron como prioridades de primer nivel (máximas) si se encontraban en el primer cuartil de la clasificación, que incluyó preguntas en las que la suma de las puntuaciones “importante” y “sumamente importante” alcanzó el 86-96 % del total (Figura 4). Como muestra la Tabla 2, el primer cuartil destacó las prioridades relacionadas con la comprensión de la fisiopatología de los problemas de salud con dolor crónico (Tema 1; ocho ítems en el primer cuartil), la evaluación y gestión de las comorbilidades (Tema 8; siete ítems en Q1), la necesidad de evaluar de forma crítica las terapias actuales y desarrollar nuevos tratamientos (por ejemplo, enfoques farmacológicos y conductuales) (Temas 3–5, cinco ítems en Q1), el desarrollo de mejores herramientas de diagnóstico y pronóstico (Tema 2; tres ítems) y una nueva evaluación de los impactos biopsicosociales del dolor (Tema 7, tres ítems).

Figura 2. Organigrama de revisión del alcance de PRISMA.

Figura 3. Gráfico polar de ítems del sondeo en orden de presentación. Las respuestas se presentan en el sentido de las agujas del reloj por el mismo orden en que aparecieron en el cuestionario (Q1–Q10 representa los datos demográficos). Los bloques de preguntas de distintas áreas de temas (D01–D11) están separados por un radio en blanco. Los colores indican los niveles de puntuación, clasificados como se especifica en el recuadro superior izquierdo. Las etiquetas alrededor del círculo indican los asuntos principales de las preguntas, con el tema o los temas principales que abarcan entre paréntesis. Los temas se extrajeron del análisis de contenido de las preguntas y algunos temas solo pudieron aplicarse a un bloque de preguntas. T.: tema, MSK: musculoesquelético, VR: realidad virtual.

Figura 4. Ítems del sondeo clasificados por orden de prioridad. Los 100 ítems de investigación prioritaria del Sondeo fueron clasificados de acuerdo con la importancia Total, definida como la suma de las respuestas “importante” y “sumamente importante” que recibieron. Los códigos de color de las barras aparecen indicados en la parte superior izquierda de la figura. El eje de las abscisas representa los 100 ítems del Sondeo, ordenados con importancia decreciente en la puntuación de los encuestados. Los temas incluidos en el primer cuartil de la clasificación aparecen enumerados en un listado en la parte inferior de la figura. Debe tenerse en cuenta que el descenso de los ítems “sumamente importante” en el último cuartil (Q4) se compensa con un incremento de las puntuaciones “no muy importante” (color naranja).

La clasificación de los ítems por orden de prioridad mostró una suave pendiente descendente en la proporción de las respuestas “importante” y “sumamente importante” (Figura 4, áreas verdes) del primer cuartil al tercero de la distribución, haciéndose más pronunciada la pendiente para el cuartil final (el 25 % inferior). Un modelo mixto ANOVA (ver Métodos) mostró efectos significativos de los factores principales “cuartil” (F [3,96] = 2,97; p = 0,03) y “tipo de respuesta” (F [4,96] = 2363; p < 0,001) y una interacción significativa entre los dos (F [12,384] = 70,1; p < 0,001). Como muestra la Figura 5, el efecto de interacción se explicó por un descenso pronunciado en el número de valoraciones “muy importante” del primer cuartil al cuarto, que tuvo un efecto espejo casi exacto por un aumento paralelo en el número de respuestas “no muy importante”, mientras que la proporción de preguntas con la valoración de “importante” siguió siendo idéntica en los cuatro cuartiles de la distribución. Ello implica que todas las prioridades incluidas en el sondeo fueron consideradas igualmente “importantes” por los encuestados, y que la diferencia en las posiciones fue el resultado de un intercambio entre las respuestas “sumamente importante” y “no muy importante” (Tabla 3).

Figura 5. Efectos de interacción ANOVA. Sobre el número de respuestas según la puntuación (de “sumamente importante” a “no es importante” o “sin opinión al respecto”) y el cuartil. Debe tenerse en cuenta que el descenso progresivo de los ítems “sumamente importante” fue compensado por un aumento paralelo en las puntuaciones “no muy importante”, mientras que el número de prioridades puntuadas con “importante” siguió siendo estable en todos los cuartiles.

Hubo un descenso significativo en el número de encuestados durante la progresión del sondeo, con una fuerte correlación negativa entre el número de orden de la pregunta y el número de participantes que la respondieron. Dicho descenso, relacionado posiblemente con el aumento progresivo de la fatiga, afectó en grado similar y fue igualmente significativo en ítems clasificados en los cuatro cuartiles (Figura 6). Por tanto, sin tener en cuenta otras diferencias, en promedio hubo aproximadamente el mismo número de personas respondiendo al sondeo en todos los cuartiles (F [3,96] = 2,6; p > 0,05) y la fatiga pudo ser razonablemente descartada como factor principal en las diferencias entre cuartiles.

Figura 6. Respuestas del sondeo versus posición ordinal de las preguntas. Análisis de regresión del número de respuestas recibidas por ítem del sondeo, como una función de la posición del ítem en el sondeo. Hubo un declive progresivo en el número de personas que respondieron a los ítems a medida que avanzaba el sondeo, con una correlación negativa significativa entre el número ordinal de la pregunta y el número de participantes que la respondieron. Dicho efecto estuvo probablemente relacionado con el incremento progresivo de la fatiga. Esto afectó a una cantidad similar de ítems y de importancia similar clasificados en los cuatro cuartiles.
Las prioridades con los puestos más bajos en la clasificación (es decir, con la mayor proporción de las puntuaciones “no muy importante” o “no es importante”) tuvieron que ver con las preguntas relacionadas con algunos aspectos sociales (influencia del género, la raza y la identidad étnica; poblaciones marginadas; implicación del paciente) (ocho ítems), y también la medicina digital y las nuevas tecnologías (diez ítems) como la realidad virtual. Este cuartil más bajo fue el único que mostró diferencias significativas en las puntuaciones dependiendo del sexo de los participantes, ya que las mujeres dieron puntuaciones significativamente mejores que los hombres a los ítems relacionados con mejorar la inclusión de poblaciones más mayores y animales, y animales hembra, en ensayos preclínicos, apoyo social, grupos marginalizados, implicación del paciente y efectos fisiológicos de la diferencia de sexo en la modulación del dolor. Los resultados relacionados con el sexo y la profesión (investigador versus médico clínico) se presentan en la Figura 7 y la Tabla 4 y Tabla 5.

Figura 7. Distribución de respuestas individuales al sondeo según género y profesión. Cuadro superior: Representación polar que muestra una distribución similar de respuestas de participantes hombres y mujeres en todas las preguntas, excepto las relacionadas con el apoyo social (127), los grupos marginalizados (129), la implicación del paciente (128) y las diferencias de género, donde las mujeres aportaron una proporción significativamente mayor de respuestas positivas (flechas y círculos rojos). Cuadro inferior: Se obtuvieron también distribuciones similares para médicos clínicos e investigadores, excepto en los ítems relacionados con la fisiopatología del dolor neuropático, musculoesquelético, de cáncer y posquirúrgico (Preguntas 53–56) que recibieron puntuaciones más altas por parte de los médicos clínicos (flechas y círculos rojos).


Fue difícil contrastar directamente los nueve temas surgidos del análisis de contenido ya que el número de ítems en cada uno de ellos varió ampliamente –algunos temas contenían n = 30 o más preguntas en el sondeo, y otros solo 2 o 3–. A pesar de ello, hubo diferencias marcadas en la presencia de algunos temas en el primer cuartil y el último de la clasificación: como muestra la Figura 8, los Temas 1, 3 y 8, sobre fisiopatología, nuevos tratamientos y comorbilidades respectivamente, aparecieron exclusivamente o de modo predominante en el primer cuartil, mientras que los Temas 4 y 9 (beneficios/perjuicios y aspectos traslacionales) predominaron en el último cuartil.

Figura 8. Distribución de temas en los cuartiles de clasificación. Hubo un contraste marcado en la presencia de algunos temas en el primer cuartil de clasificación y el último. Los Temas 1, 3 y 8, que tratan respectivamente sobre fisiopatología, nuevos tratamientos y comorbilidades, aparecieron de forma predominante en los cuartiles más altos, mientras que los Temas 4 y 9 (beneficios/perjuicios y aspectos traslacionales) predominaron en los cuartiles más bajos.
Reunión de consenso
El grupo de expertos de 26 miembros (EFIC SWG y ERA-NET SWG) de la reunión de consenso destacó la gran estabilidad y la ausencia de diferencias significativas en la proporción de ítems clasificados como “importante” en todo el conjunto de preguntas (Figura 5).
Basándose en los resultados, el grupo respaldó la relevancia general de todas las prioridades incluidas en el sondeo y la validez del proceso de selección de varias fases.
El resultado del debate World Café final puso de relieve prioridades de gran importancia que fueron ignoradas o poco consideradas en los resultados y temas del sondeo. Se detallan a continuación.
Predicción: Se destacó que la posibilidad de predecir qué individuos tienen riesgo de obtener malos resultados, por ejemplo, de transición del dolor agudo al crónico, y predecir la respuesta individual a distintos tratamientos tiene que ser comunicada claramente en la estrategia final.
Prevención: Se puso de relieve que hay escasez de investigación sobre la prevención (prevención primaria y secundaria de dolor y discapacidad) si se compara con la investigación sobre las intervenciones. Muchos miembros del grupo de debate manifestaron que los esfuerzos para prevenir el dolor crónico y la discapacidad asociada al mismo tienen que constituir un mensaje claro de la estrategia.
Autogestión: Mientras que distintos temas se referían a los tratamientos (por ejemplo, enfoques conductuales como terapias de ejercicio y psicológicas), muchos miembros del grupo de debate destacaron la importancia de incluir de forma explícita la palabra autogestión, dada la relevancia de este modelo de tratamiento en la gestión del dolor crónico.
Gestión del dolor personalizada: Hay evidencia creciente de que la gestión del dolor personalizada es necesaria para adaptar los aspectos individuales de cada paciente y el dolor crónico. Teniendo en cuenta que el dolor es siempre una experiencia personal influida en distintos grados por factores biológicos, psicológicos y sociales que difieren de una persona a otra, el grupo de debate consideró que las palabras personalizada o individualizada referidas a la gestión deberían ser comunicadas en la estrategia, con el fin de superar las limitaciones de los enfoques “igual para todos”.
DEBATE
Esta primera Estrategia Europea de Investigación sobre el Dolor puso de manifiesto un alto consenso en cuanto a distintos asuntos de investigación que necesitan más atención. Ningún asunto de investigación recibió una baja posición en el sondeo, indicando que todas las prioridades eran relevantes. Las prioridades con una posición más alta en la clasificación incluyeron una mejor comprensión de la fisiopatología del dolor, la comprensión y el tratamiento de las comorbilidades, la exploración de beneficios/perjuicios/costes de las terapias actuales, el desarrollo de nuevos tratamientos y la comprensión de los impactos biopsicosociales del dolor. En la reunión de consenso final se acordaron las prioridades identificadas y se hizo la recomendación de que la estrategia debería comunicar la importancia de la investigación en la predicción (por ejemplo, riesgo de malos resultados y respuesta a un tratamiento distinto), la prevención del dolor crónico, la autogestión y la gestión del dolor personalizada.
Prioridades de investigación mejor puntuadas
El setenta y cinco por ciento de las prioridades propuestas en el sondeo fueron consideradas “importantes” o “sumamente importantes” por ~95 % de los encuestados y los ítems con las puntuaciones más bajas de la clasificación fueron considerados importantes en más del 60 % de las respuestas (Figura 3). Esto respalda los ítems incluidos en el sondeo y la validez del proceso de selección de prioridades de varias fases desarrollado antes del sondeo. Mientras que la mayoría de los ítems fueron considerados relevantes, la diferencia en sus puntuaciones permitió individualizar los que destacaron como “prioridades absolutas”, clasificados en el primer cuartil de la distribución.
Estas prioridades reflejaron necesidades urgentes: entender la fisiopatología del dolor; investigar y abordar las comorbilidades del dolor; evaluar de forma crítica las terapias actuales, desarrollando nuevos tratamientos; y explorar los impactos biopsicosociales del dolor (Tabla 2).
Dichas prioridades están alineadas con las identificadas en otras investigaciones sobre el dolor. Se subrayó la importancia de una mejor comprensión de los mecanismos biológicos en la investigación sobre el dolor espinal (30), el dolor relacionado con la lesión de médula espinal (31) y la investigación neurológica (32). Las estrategias de predicción y prevención fueron subrayadas por otras agendas (32,33), así como la necesidad de mejores mediciones de resultados (31,34,35). Como era de esperar, la necesidad de tratamientos eficaces es citada a menudo por otros (32,33) incluyendo, como en nuestro caso, la identificación de opciones con baja valoración (30).
Las prioridades mejor clasificadas fueron priorizadas de modo similar por parte de médicos clínicos e investigadores y de hombres y mujeres que respondieron al sondeo. A diferencia de agendas previas, nuestros temas abordaron categorías amplias en lugar de ser específicas de un problema de salud. Por tanto, las prioridades relacionadas con la fisiopatología con un nivel similar de importancia incluyeron dolores neuropáticos, musculoesqueléticos, posquirúrgicos, orofaciales y por cáncer, así como fibromialgia y CRPS. Una inclusividad similar se aplicó a las comorbilidades y las prioridades relacionadas con los tratamientos: las comorbilidades subrayadas fueron diversas e incluyeron las esferas de salud somática y mental, mientras que las prioridades de tratamientos incluyeron enfoques farmacológicos y conductuales (por ejemplo, tratamientos con base psicológica y de ejercicio) y abordaron de forma fundamental el asunto de los tratamientos innecesarios.
Debe hacerse notar que los ítems de fisiopatología del sondeo recibieron el mismo peso de relevancia que los relacionados con el tratamiento y pueden reflejar la convicción de los participantes acerca del hecho de que la búsqueda de nuevas terapias no es posible sin una mejora en paralelo en el conocimiento de los mecanismos de la enfermedad. La inclusión de prioridades máximas de investigación de fisiopatología es relativamente nueva: una búsqueda de PubMed de estrategias y agendas sobre dolor, anestesiología y neurología del período de 2021 a 2024 aportó 168 artículos, de los cuales únicamente tres identificaron la fisiopatología del dolor como una prioridad, respectivamente, en la distonía cervical (33), la osteomielitis (36) y la fibromialgia (37). Por el contrario, el presente sondeo situó la investigación de los mecanismos de la enfermedad como una prioridad fundamental, al mismo nivel de los tratamientos. Este enfoque no solo es sólido científicamente, sino que debería reforzar la investigación traslacional en futuros programas de investigación sobre el dolor (25).
También es relevante el hecho de que los tratamientos conductuales (por ejemplo, los enfoques psicológicos y de ejercicio centrados en la persona) hayan sido priorizados al mismo nivel que las terapias farmacológicas, a pesar de posibles diferencias geográficas (38). Esto implica que el modelo biopsicosocial ya está “anclado” en la mentalidad de la comunidad del dolor. Aunque la perspectiva biopsicosocial del dolor existe desde los años 1980 (39), nuestro enfoque nos ha permitido constatar su relevancia con la contribución de la comunidad de médicos clínicos e investigadores.
Posiciones descendentes de prioridad
A pesar de que la proporción de las valoraciones “importante” permaneció completamente estable en todos los ítems del sondeo, la distribución de respuestas mostró un descenso progresivo en el número de valoraciones “sumamente importante”, casi totalmente compensado por un aumento paralelo en las puntuaciones “no muy importante” (Figura 3 y Figura 4). La explicación más escueta parece ser un movimiento homogéneo de puntuaciones, con una proporción de encuestados que redujeron algunas puntuaciones de “sumamente importante” a “importante” y una proporción similar pasando de ahí a “no muy importante”, y por tanto manteniendo las prioridades “importantes” inalterables en todas partes. Con menor probabilidad, algunos participantes podrían haber cambiado de opinión drásticamente y haber degradado los ítems en más de un nivel, mientras que otros mantenían constante el número total de respuestas “importante”.
La pendiente descendente de la distribución de respuestas positivas fue suave en los tres primeros cuartiles y se volvió más pronunciada en el cuarto (Figura 4). Los temas relacionados con la evaluación, el diagnóstico y el pronóstico (Tema 2), mecanismos de los tratamientos (Tema 5) y traslación de adelante hacia atrás (Tema 9) aparecieron constantemente en el segundo cuartil y el tercero de la distribución, mientras que los ítems referidos a la medicina digital y la evaluación de poblaciones complejas estaban fundamentalmente concentrados en el último cuartil. Como las preguntas en estas prioridades relativamente “poco puntuadas” tendían a aparecer tarde, la fatiga de los participantes no puede descartarse. La fatiga de los participantes a medida que el sondeo avanzaba está respaldada por la disminución lineal del número de encuestados con el avance del sondeo. Sin embargo, dicha disminución afectó a los ítems en todos los cuartiles y el número de respuestas proporcionadas no cambió significativamente a lo largo de los cuartiles y no podía explicar las diferencias. Como muchos ítems en el cuartil más bajo se referían a poblaciones especiales (por ejemplo, adultos más mayores) y aspectos específicos de evaluación del dolor, su posición más baja puede reflejar una predisposición de los encuestados a privilegiar ítems de impacto general más que de impacto específico.
Por ejemplo, mejorar el tratamiento para el dolor por cáncer (general) se podría considerar más urgente que aplicarlo a poblaciones específicas (particular). Digno de mención es que las preguntas del cuartil más bajo fueron las únicas que mostraron diferencias de puntuación significativas dependiendo del género, ya que las participantes femeninas valoraron los ítems relacionados con apoyo social, grupos marginales, poblaciones especiales (por ejemplo, adultos más mayores) e implicación del paciente dándoles mayor prioridad que los participantes masculinos.
Aspectos metodológicos
En la actualidad no hay un estándar de oro para establecer una agenda de investigación. Distintas organizaciones han utilizado una gama de metodologías para obtener estrategias sobre problemas específicos de salud con dolor, incluyendo el dolor relacionado con la lesión de la médula espinal (31), el dolor crónico relacionado con el VIH (35), la distonía en la parálisis cerebral (33) o los problemas neurológicos (22). Incluyeron cuestionarios a grupos de expertos, revisiones de literatura y debates de consenso, pero raramente hubo sondeos abiertos fuera del grupo de expertos. Nosotros adoptamos no solo una metodología con varias facetas que combina la búsqueda exhaustiva de literatura, opiniones sobre la organización y consenso experto, sino que también los sometimos a la opinión de colegas externos en ciencias básicas, traslacionales y clínicas y profesionales de la industria, mediante un sondeo amplio. Estos enfoques combinados incrementaron la validez de la Estrategia. La participación en el sondeo fue considerable, con 628 personas que respondieron de los 1053 individuos que accedieron a la página del sondeo (59,6 % de retención). Aunque cada pregunta específica fue respondida solo por la mitad de la muestra aproximadamente (331 ± 29 respuestas por pregunta), esta tasa de respuesta es favorable al compararla con otras recomendaciones sobre prioridades del dolor que utilizaron sondeos (30,31,33,34,35) y fundamenta la solidez de los resultados.
Fortalezas y limitaciones
La evaluación exhaustiva de la literatura, el análisis de agendas de investigación de instituciones respetadas, incluyendo James Lind Alliance (con un gran listado de prioridades de pacientes), Cochrane y IASP complementados con las prioridades surgidas del Foro Europeo del Dolor y del Comité de Investigación EFIC, representan una fortaleza significativa del presente trabajo y una de las metodologías más completas para obtener un conjunto inicial de prioridades de investigación. La síntesis de estas en un conjunto compacto de 100 ítems de investigación para puntuar, extrayendo distintos temas utilizando un análisis formal de contenido, nos permitió evaluar dichas prioridades “institucionales” mediante las respuestas de una muestra independiente de individuos. Aprobando globalmente todo el conjunto de ítems, los participantes en el sondeo los clasificaron para extraer las máximas prioridades. Algunas de ellas se alinean con sugerencias previamente encontradas en la literatura, mientras que otras son nuevas y, como se ha explicado anteriormente, relevantes para impulsar la investigación en el futuro.
El presente trabajo también contiene algunas limitaciones. La mayor parte de quienes respondieron al sondeo fueron médicos clínicos frente a un menor número de investigadores (60 % frente al 40 %), lo cual pudo conllevar alguna subjetividad en las respuestas, aunque la ausencia de una diferencia significativa en la mayoría de los ítems indica que dicha subjetividad fue insignificante. La mayoría de los médicos clínicos eran especialistas en dolor (una minoría eran médicos de familia), con respuestas limitadas de otras especialidades de profesionales sanitarios (11 % de fisioterapeutas y 7 % de psicólogos), lo que puede obstaculizar la generalización de los resultados.
El sondeo se realizó únicamente en inglés. Aunque se involucró a personas que tienen una experiencia de vida con dolor en el desarrollo de la Estrategia (a través de Pain Alliance Europe) y nuestro sondeo incluyó varios ítems propuestos por pacientes a través de la búsqueda de literatura de James Lind Alliance, no se les incluyó directamente en el sondeo. Por tanto, los resultados reflejan principalmente las prioridades consideradas como las más importantes por parte de los científicos y los médicos clínicos. Estas pueden ser diferentes de las prioridades de los pacientes.
CONCLUSIÓN
Entender mejor la fisiopatología del dolor, entender y tratar las comorbilidades, explorar los beneficios/perjuicios/costes de las terapias actuales, desarrollar nuevos tratamientos y entender los impactos biopsicosociales del dolor surgieron como las principales prioridades para la investigación sobre el dolor. Se subrayó también la importancia de comunicar con claridad los conceptos de predicción, prevención, autogestión y gestión del dolor personalizada.
Debe tratarse con especial consideración la aplicación coordinada de la Estrategia de Investigación sobre el Dolor para Europa desarrollada en el presente estudio.
Ello proporcionará a la comunidad científica y a las entidades de financiación a los niveles internacional, europeo y nacionales una guía para la inversión sostenida, promoviendo la priorización estratégica para abordar las necesidades más urgentes de investigación sobre el dolor en la próxima década. Esto podría constituir un desafío teniendo en cuenta las diferencias regionales en los países europeos con respecto a las emergencias médicas, sociales y políticas, incluyendo el acceso a los recursos, el potencial de investigación clínica/básica y la autonomía de la práctica. Como se identificó en la reunión de consenso, serán necesarias la comunicación y colaboración estrechas para maximizar la implementación hacia la investigación avanzada y mejorar las vidas de quienes conviven con el dolor.
En el sondeo, los ítems de prioridades de investigación fueron tratados separadamente, aunque en la vida real estén claramente interrelacionados. El dolor puede ser una entidad independiente (el dolor como enfermedad) o un síntoma de una enfermedad subyacente (3). Resolviendo la fisiopatología subyacente, los investigadores pueden identificar sendas comunes, factores de riesgo y objetivos potenciales de tratamiento. Ello puede conducir a estrategias de prevención utilizando medicina personalizada para optimizar los resultados, garantizando que las intervenciones estén bien orientadas y sean eficaces. En definitiva, esto mejorará la calidad de vida de quienes conviven con el dolor crónico y sus comorbilidades, y además reducirá los costes sanitarios.
CONTRIBUCIONES DE LOS AUTORES
G.P. y B.M.F. concibieron el estudio. G.P., M.OK., L.G.L. y B.M.F. diseñaron los métodos. K.B., S.B., S.C., F.J.C., E.E., D.P.F., T.G.N, M.M., A.M, B.P. y T.R.T. hicieron observaciones sobre los métodos. G.P., M.OK, B.F., E.PZ., N.S., L.G.L. y B.M.F analizaron los datos. G.P., M.OK, E.PZ, L.G.L. y B.M.F escribieron el manuscrito. Todos los autores participaron en el debate y la interpretación de los resultados y la revisión del manuscrito. G.P. y M.OK. contribuyeron igualmente en el presente trabajo. L.G.L. y B.M.F. contribuyeron del mismo modo en el presente trabajo.
AGRADECIMIENTOS
Los autores agradecen a Melinda Borzsak-Schramm, Christel Geevels y Sam Kynman (EFIC’s Executive Office) su apoyo organizativo.
INFORMACIÓN SOBRE LA FINANCIACIÓN
El presente proyecto recibió financiación de Network of European Funding for Neuroscience Research (ERA-NET Neuron Transnational Networking Groups on Chronic Pain 2022.ANR-23-NEUG-0001-01).
DECLARACIÓN DE CONFLICTO DE INTERESES
G. Pickering ha recibido honorarios de consultoría de Grünenthal, Mylan, Sanofi y Haleon. M. O’Keeffe está respaldado por una beca de investigación irlandesa (UCD Ad Astra Fellowship) y ha recibido financiación de la Unión Europea. K. Bannister ha sido en parte financiado por el National Institute for Health Research (NIHR) Maudsley Biomedical Research Centre at South London and Maudsley NHS Foundation Trust and King’s College London. E. Eisenberg ha recibido becas de investigación, y honorarios de consultoría de Israel Pain Association, Rafa Laboratories, Syqe Medical, Teva Israel, Pfizer, Little Green Pharma, Bioevents, Greenwich Biosciences, Vectura Ferin Pharma y Cannabotech. D.P Finn ha recibido becas de investigación en cannabinoides o el sistema endocannabinoide y el dolor de Shionogi Ltd. (Shionogi Science Programme) y de B. Braun Ltd. Conjuntamente con Science Foundation Ireland. P. Forget ha recibido honorarios de asesoría de Grunenthal, Oncomfort y GE Healthcare.
T. Graven-Nielsen está respaldado por Danish National Research Foundation (DNRF121). E. Kalso ha participado en juntas asesoras de Orion Pharma (Espoo, Finland) y Pfizer (New York, New York) y ha recibido honorarios de docencia de Orion Pharma, GSK (Brentford, United Kingdom) y Merck (Rahway, New Jersey). T. R. Tölle declara consultorías, becas de viaje y honorarios por conferencias para AOP Orphan, Almiral Hermal, Bionest Partners, Benkitt Renkiser, Grünenthal, Hexal, Indivior, Kaia Health, Lilly, Medscape Mundipharma, MSD, Novartis, Pfizer, Recordati Pharma, Sanofi-Aventis y TAD Pharma. A. Truini ha recibido honorarios de consultoría o pagos por docencia de Angelini, Grunenthal, Viatris y Eliem Therapeutics. E. Pogatski Zahn ha recibido apoyo de financiación de Grunenthal por actividades de investigación y consultoría y honorarios por docencia de Grünenthal, Novartis, Medtronic y Merck/MSD. Además, su investigación actual está respaldada por German Research Foundation (DFG), Federal Ministry of Education and Research (BMBF), Federal Joint Committee (G-BA) y the Innovative Medicines Initiative 2 Joint Undertaking con el convenio de beca Número 777500. Recibe apoyo del programa de investigación e innovación Horizon 2020 de la Unión Europea y EFPIA. L. Garcia- Larrea tiene el respaldo de French National Institute for Health and Medical Research (INSERM) y no declara COI. BM. Fullen ha recibido financiación de la Unión Europea, honorarios de consultoría de Grunenthal y una beca ilimitada de Asaki Kasei. Los demás autores no tienen intereses financieros que declarar.
DESCARGO DE RESPONSABILIDAD
No se ha utilizado inteligencia artificial en el presente manuscrito.
INFORMACIÓN COMPLEMENTARIA
Puede encontrarse más información complementaria en línea en la sección de Información Complementaria al final de este artículo.
BIBLIOGRAFÍA