Rev. Soc. Esp. Dolor. 2024; 31(3): 185-214
                                    Gisèle Pickering, Mary O'Keeffe, Kirsty Bannister, Susanne Becker, Sonia Cottom, Felicia J. Cox, Elon Eisenberg, David P. Finn, Patrice Forget, Thomas Graven-Nielsen, Eija Kalso, Magdalena Kocot-Kepska, Hugo Leite-Almeida, José Antonio López-García, Mira Meeus, André Mouraux, Bruno Pereira, Livia Puljak, Michiel F. Reneman, Iben Rohde, Ioannis Sotiropoulos, Nathan Skidmore, Thomas R. Tölle, Snezana Tomasevic Todorovic, Andrea Truini, Kevin E. Vowles, Esther Pogatzki-Zahn, Luis García-Larrea, Brona M. Fullen
                                    
                                    
                                    RESUMEN
Antecedentes: El dolor es la causa principal de discapacidad y calidad de vida limitada en el mundo. A pesar de la carga creciente que esto supone para los pacientes y los sistemas sanitarios, la investigación sobre el dolor sigue disponiendo de una escasa financiación y un escaso enfoque. El hecho de que los asociados identifiquen y prioricen las áreas que necesitan ser abordadas con urgencia en este campo ayudará a decidir los temas a financiar, a reducir los “residuos de investigación”, a mejorar la eficacia de la investigación y la terapia del dolor y a estimular el uso de la evidencia de la investigación. En el presente estudio, la Federación Europea del Dolor (EFIC) ha desarrollado una Estrategia de Investigación sobre el Dolor para Europa.
Métodos: El estudio ha utilizado múltiples métodos, incluyendo búsquedas de literatura, debates de expertos multidisciplinares, un sondeo y una reunión de consenso final. El sondeo transversal se realizó entre 628 investigadores del dolor, médicos clínicos, educadores y profesionales de la industria europeos para obtener la clasificación y la jerarquía de las prioridades en la investigación sobre el dolor. La reunión de consenso final involucró a un comité de expertos multidisciplinares incluyendo a personas con experiencia acumulada de 23 países. El sondeo muestra los debates guiados en los que se acordaron las máximas prioridades.
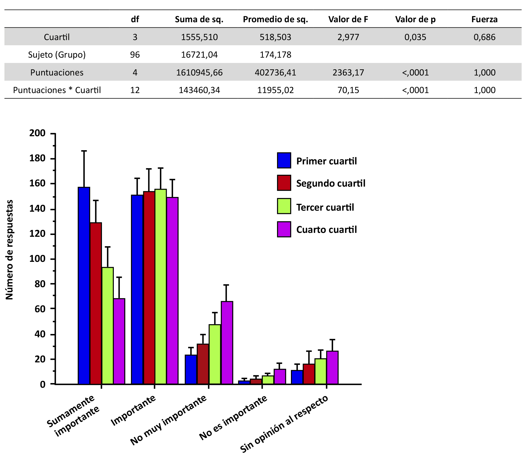
Resultados: El análisis del contenido identificó nueve temas de estudio en el sondeo, cinco de los cuales se revelaron como máximas prioridades: (i) entender la fisiopatología del dolor; (ii) entender y tratar las comorbilidades;(iii) evaluar de forma crítica las terapias actuales; (iv) desarrollar nuevos tratamientos; y (v) explorar los impactos biopsicosociales del dolor. Se han priorizado los enfoques físico, psicológico y social en la misma medida que los tratamientos farmacológicos. Las máximas prioridades han sido respaldadas por un comité de expertos multidisciplinares. El comité destacó la importancia de comunicar también claramente los conceptos de predicción, autogestión de la prevención y gestión personalizada del dolor en la estrategia final.
Conclusiones: El contenido del listado final de las máximas prioridades de investigación refleja un enfoque holístico de la gestión del dolor. La importancia otorgada a partes iguales a los aspectos físicos, psicológicos y sociales junto a los tratamientos farmacológicos subraya la relevancia de contar con una estrategia completa de investigación con orientación biopsicosocial. El respaldo dado por el comité de expertos a las cinco máximas prioridades, unido al énfasis al comunicar los conceptos de predicción, prevención, autogestión y gestión personalizada del dolor, proporciona una dirección clara para la futura investigación básica, traslacional y clínica.
Relevancia: EFIC ha desarrollado una Estrategia de Investigación sobre el Dolor para Europa que identifica las áreas de investigación sobre el dolor que merecen mayor atención y apoyo financiero. La aplicación y la amplia difusión de dicha Estrategia son vitales para aumentar la realización de urgentes proyectos sobre el dolor, la financiación de la investigación sobre el dolor y la implementación práctica de los hallazgos de la investigación, con el fin último de reducir la carga personal, social y financiera del dolor.
ABSTRACT
Background: Pain is the leading cause of disability and reduced quality of life worldwide. Despite the increasing burden for patients and healthcare systems, pain research remains underfunded and under focused. Having stakeholders identify and prioritize areas that need urgent attention in the field will help focus funding topics, reduce ‘research waste’, improve the effectiveness of pain research and therapy and promote the uptake of research evidence. In this study, the European Pain Federation (EFIC) developed a Pain Research Strategy for Europe.
Methods: The study used multiple methods, including literature searches, multidisciplinary expert debate, a survey and a final consensus meeting. The crosssectional survey was conducted among 628 European pain researchers, clinicians, educators and industry professionals to obtain the rating and hierarchy of pain research priorities. The final consensus meeting involved a multidisciplinary expert panel including people with lived experience from 23 countries. The survey results guided discussions where top priorities were agreed.
Results: Content analysis identified nine survey themes, of which five emerged as top priorities: (i) understand the pathophysiology of pain; (ii) understand and address comorbidities; (iii) critically assess current therapies; (iv) develop new treatments; and (v) explore the biopsychosocial impacts of pain. Physical, psychological and social approaches were prioritized at the same level as pharmacological treatments. The top priorities were endorsed by a multidisciplinary expert panel. The panel emphasized the importance of also clearly communicating the concepts of prediction, prevention selfmanagement and personalized pain Management in the final strategy.
Conclusions: The content of the final top research priorities' list reflects a holistic approach to pain management. The equal importance given to physical, psychological and social aspects alongside pharmacological treatments highlights the importance of a comprehensive biopsychosocial-orientated research strategy. The expert panel's endorsement of five top priorities, coupled with an emphasis on communicating the concepts of prediction, prevention, self-management and personalized pain management, provides a clear direction for future basic, translational and clinical research.
Significance: EFIC has developed a Pain Research Strategy for Europe that identifies pain research areas deserving the most focus and financial support. Implementation and wide dissemination of this Strategy is vital to increase the conduct of urgent pain projects, pain research funding and the implementation of research findings into practice, to ultimately decrease the personal, societal and financial burden of pain.
                                    
                                    
                                    
                                    
	
                                        
                                        
                                            Nuevo comentario
                                            
                                            
                                            Comentarios
                                            
                                                No hay comentarios para este artículo.
                                                
                                                
                                                
                                            
                                         
                                    
 
                                 
                                
                                    Bibliografía
                                    
                                            
                                                1.	Cohen, S. P., Vase, L., & Hooten, W. M. (2021). Chronic pain: An up- date on burden, best practices, and new advances. The Lancet, 397, 2082–2097.
                                            
                                                2.	Vos, T., Lim, S. S., Abbafati, C., Abbas, K. M., Abbasi, M., Abbasifard, M., Abbasi-Kangevari, M., Abbastabar, H., Abd-Allah, F., & Abdelalim, A. (2020). Global burden of 369 diseases and inju- ries in 204 countries and territories, 1990–2019: A systematic analysis for the global burden of disease study 2019. The Lancet, 396, 1204–1222.
                                            
                                                3.	Treede, R.-D., Rief, W., Barke, A., Aziz, Q., Bennett, M. I., Benoliel, R., Cohen, M., Evers, S., Finnerup, N. B., & First, M. B. (2019). Chronic pain as a symptom or a disease: The IASP classification of chronic pain for the International Classification of Diseases (ICD-11). Pain, 160, 19–27.
                                            
                                                4.	Oliveira, C. B., Ferreira, G. E., Buchbinder, R., Machado, G. C., & Maher, C. G. (2023). Do national health priorities align with global burden of disease estimates on disease burden? An anal- ysis of national health plans and official governmental web- sites. Public Health, 222, 66–74.
                                            
                                                5.	Berger, S. E., & Baria, A. T. (2022). Assessing pain research: A nar- rative review of emerging pain methods, their technosocial im- plications, and opportunities for multidisciplinary approaches. Frontiers in Pain Research, 3, 896276.
                                            
                                                6.	Asher, L., & De Silva, M. (2017). A little could go a long way: Financing for mental healthcare in low-and middle-income countries. Epidemiology and Psychiatric Sciences, 26, 248–251.
                                            
                                                7.	European Commission, Research D-Gf, Innovation, Tuyl, L., Zinger, N., Heide, I., Kroneman, M., Sankatsing, V., & Hansen, J. (2023). Scoping study on evidence to tackle high-burden under- researched medical conditions—Discussion paper Publications Office of the European Union.
                                            
                                            
                                        
                                            
                                                8.	Grill, C. (2021). Involving stakeholders in research priority setting: A scoping review. Research Involvement and Engagement, 7, 1–18.
                                            
                                                9.	Tong, A., Synnot, A., Crowe, S., Hill, S., Matus, A., Scholes- Robertson, N., Oliver, S., Cowan, K., Nasser, M., & Bhaumik, S. (2019). Reporting guideline for priority setting of health research (REPRISE). BMC Medical Research Methodology, 19, 1–11.
                                            
                                                10.	Viergever, R. F., Olifson, S., Ghaffar, A., & Terry, R. F. (2010). A checklist for health research priority setting: Nine common themes of good practice. Health Research Policy and Systems, 8, 1–9.
                                            
                                                11.	Boaz, A., Hanney, S., Borst, R., O'Shea, A., & Kok, M. (2018). How to engage stakeholders in research: Design principles to support improvement. Health Research Policy and Systems, 16, 1–9.
                                            
                                                12.	Chalmers, I., Bracken, M. B., Djulbegovic, B., Garattini, S., Grant, J., Gülmezoglu, A. M., Howells, D. W., Ioannidis, J. P., & Oliver, S. (2014). How to increase value and reduce waste when research priorities are set. The Lancet, 383, 156–165.
                                            
                                                13.	Álvarez-Bornstein, B., & Bordons, M. (2021). Is funding related to higher research impact? Exploring its relationship and the me- diating role of collaboration in several disciplines. Journal of Informetrics, 15, 101102.
                                            
                                                14.	Tricco, A. C., Lillie, E., Zarin, W., O'Brien, K. K., Colquhoun, H., Levac, D., Moher, D., Peters, M. D., Horsley, T., & Weeks, L. (2018). PRISMA extension for scoping reviews (PRISMA-ScR): Checklist and explanation. Annals of Internal Medicine, 169, 467–473.
                                            
                                                15.	Versus arthritis. (2018). A research roadmap for pain. https://versu sarthritis.org/media/1672/research-roadmap-pain.pdf
                                            
                                            
                                        
                                            
                                                16.	National Institutes of Health. (2022). Federal Pain Research Strategy. https://www.iprcc.nih.gov/sites/default/files/documents/FPRS_Research_Recommendations_Final_508C.pdf
                                            
                                            
                                        
                                            
                                                17.	European League Against Rheumatism (EULAR). (2019). RheumaMap A Research Roadmap to transform the lives of people with Rheumatic and Musculoskeletal Disease. https:// www.eular.org/document/share/181/a8a7e114-3c87-4586- ba00-c18e8e857429
                                            
                                            
                                        
                                            
                                                18.	Deutsche Schmerzgesellschaft, E. V. (2017). Forschungsagenda Perspektive Schmerzforschung Deutschland. https://www. schmerzgesellschaft.de/fileadmin/pdf/Forschungsagenda_ 2017_final.pdf.
                                            
                                            
                                        
                                            
                                                19.	Bennett, M. I., Eisenberg, E., Ahmedzai, S. H., Bhaskar, A., O'Brien, T., Mercadante, S., Krčevski Škvarč, N., Vissers, K., Wirz, S., & Wells, C. (2019). Standards for the management of cancer- related pain across Europe—A position paper from the EFIC task force on cancer pain. European Journal of Pain, 23, 660–668.
                                            
                                                20.	Goebel, A., Barker, C., Birklein, F., Brunner, F., Casale, R., Eccleston, C., Eisenberg, E., McCabe, C. S., Moseley, G. L., & Perez, R. (2019). Standards for the diagnosis and management of com- plex regional pain syndrome: Results of a European Pain feder- ation task force. European Journal of Pain, 23, 641–651.
                                            
                                                21.	Haroutounian, S., Arendt-Nielsen, L., Belton, J., Blyth, F. M., Degenhardt, L., Di Forti, M., Eccleston, C., Finn, D. P., Finnerup, N. B., & Fisher, E. (2021). IASP presidential task- force on cannabis and cannabinoid analgesia: Research agenda on the use of cannabinoids, cannabis, and cannabis-based med- icines for pain management. Pain, 162, S117–S124.
                                            
                                                22.	Häuser, W., Finn, D. P., Kalso, E., Krcevski-Skvarc, N., Kress, H. G., Morlion, B., Perrot, S., Schäfer, M., Wells, C., & Brill, S. (2018). European Pain federation (EFIC) position paper on appropri- ate use of cannabis-based medicines and medical cannabis for chronic pain management. European Journal of Pain, 22, 1547–1564.
                                            
                                                23.	Häuser, W., Morlion, B., Vowles, K. E., Bannister, K., Buchser, E., Casale, R., Chenot, J. F., Chumbley, G., Drewes, A. M., & Dom, G. (2021). European* clinical practice recommendations on opioids for chronic noncancer pain–part 1: Role of opioids in the management of chronic noncancer pain. European Journal of Pain, 25, 949–968.
                                            
                                                24.	Krčevski Škvarč, N., Morlion, B., Vowles, K. E., Bannister, K., Buchsner, E., Casale, R., Chenot, J. F., Chumbley, G., Drewes, M., & Dom, G. (2021). European clinical practice recommen- dations on opioids for chronic noncancer pain–part 2: Special situations. European Journal of Pain, 25, 969–985.
                                            
                                                25.	Mouraux, A., Bannister, K., Becker, S., Finn, D. P., Pickering, G., Pogatzki-Zahn, E., & Graven-Nielsen, T. (2021). Challenges and opportunities in translational pain research–an opinion paper of the working group on translational pain research of the European pain federation (EFIC). European Journal of Pain, 25, 731–756.
                                            
                                                26.	Truini, A., Aleksovska, K., Anderson, C. C., Attal, N., Baron, R., Bennett, D. L., Bouhassira, D., Cruccu, G., Eisenberg, E., & Enax-Krumova, E. (2023). Joint European academy of neurol- ogy–European Pain federation–neuropathic Pain special inter- est Group of the International Association for the study of Pain guidelines on neuropathic pain assessment. European Journal of Neurology, 30, 2177–2196.
                                            
                                                27.	Eysenbach, G. (2004). Improving the quality of web surveys: The checklist for reporting results of internet E-surveys (CHERRIES) (Vol. 6, e34). Gunther Eysenbach Centre for Global eHealth Innovation.
                                            
                                                28.	Weber, R. P. (1990). Basic content analysis sage.
                                            
                                            
                                        
                                            
                                                29.	Landis, J. R., & Koch, G. G. (1977). The measurement of observer agreement for categorical data. Biometrics, 33, 159–174.
                                            
                                                30.	Dionne, C. E., Rossignol, M., Deyo, R. A., Koes, B., Schoene, M., & Battié, M. (2022). Back to the future: A report from the 16th international forum for back and neck pain research in primary care and updated research agenda. Spine, 47, E595–E605.
                                            
                                                31.	Hitzig, S. L., Hunter, J. P., Ballantyne, E. C., Katz, J., Rapson, L., Craven, B. C., & Boschen, K. A. (2017). Outcomes and reflec- tions on a consensus-building workshop for developing a spinal cord injury-related chronic pain research agenda. The Journal of Spinal Cord Medicine, 40, 258–267.
                                            
                                                32.	Boon, P., Lescrauwaet, E., Aleksovska, K., Konti, M., Berger, T., Leonardi, M., Marson, T., Kallweit, U., Moro, E., & Toscano, (2024). A strategic neurological research agenda for Europe: Towards clinically relevant and patient-centred neurological research priorities. European Journal of Neurology, 31, e16171.
                                            
                                                33.	Gilbert, L. A., Fehlings, D. L., Gross, P., Kruer, M. C., Kwan, W., Mink, J. W., Shusterman, M., Aravamuthan, B. R., & Group CPRNDS. (2022). Top 10 research themes for dystonia in ce- rebral palsy: A community-driven research agenda. Neurology, 99, 237–245.
                                            
                                                34.	Maxwell, L. J., Wells, G. A., Simon, L. S., Conaghan, P. G., Grosskleg, S., Scrivens, K., Beaton, D. E., Bingham, C. O., Busse, J. W., & Christensen, R. (2015). Current state of reporting pain out- comes in Cochrane reviews of chronic musculoskeletal pain conditions and considerations for an OMERACT research agenda. The Journal of Rheumatology, 42, 1934–1942.
                                            
                                                35.	Merlin, J. S., Hamm, M., de Abril, C. F., Baker, V., Brown, D., Cherry, C., Edelman, E., Evangeli, M., Harding, R., & Josh, J. (2023). The global task force for chronic Pain in people with HIV (PWH): Developing a research agenda in an emerging field. AIDS Care, 35, 1215–1223.
                                            
                                                36.	Mohanna, M., Roberts, E., Whitty, L., Gritzfeld, J., Pain, C., Girschick, H., Preston, J., Hadjittofi, M., Anderson, C., & Ferguson, P. (2023). Priorities in chronic nonbacterial osteomy- elitis (CNO)–results from an international survey and roundta- ble discussions. Pediatric Rheumatology, 21, 65.
                                            
                                                37.	Goebel, A., Andersson, D., Barker, C., Basu, N., Bullock, C., Bevan, S., Bashford-Rogers, R. J., Choy, E., Clauw, D., & Dulake, D. (2022). Research recommendations following the discovery of pain sensitizing IgG autoantibodies in fibromyalgia syndrome. Pain Medicine, 23, 1084–1094.
                                            
                                                38.	Koop, M. A., Benson, A. C., Reneman, M. F., Scholten-Peeters, G. G., & Coppieters, M. W. (2023). Is there a geographic and gen- der divide in Europe regarding the biopsychosocial approach to pain research? An evaluation of the 12th EFIC congress. Scandinavian Journal of Pain, 23, 767–773.
                                            
                                                39.	Nicholas, M. K. (2022). The biopsychosocial model of pain 40 years on: Time for a reappraisal? Pain, 163, S3–S14.