Año 2022 / Volumen 29 / Número 3

Original

El impacto de la dosis de bupivacaína en el escalofrío postespinal en la cesárea: un ensayo aleatorizado
The impact of bupivacaine dose on post spinal shivering in cesarean section: a randomized trial

Rev. Soc. Esp. Dolor. 2022; 29(3): 132-139 / DOI: 10.20986/resed.2022.4039/2022

A. Sultan Wesameldin, S. Ibrahem Ezzeldin, A. Elbakry Abd-Elazeem


RESUMEN

Objetivo: El objetivo de este estudio fue investigar la relación entre la dosis intratecal de bupivacaína hiperbárica y la incidencia y severidad de los escalofríos postespinales en parturientas sometidas a cesárea.
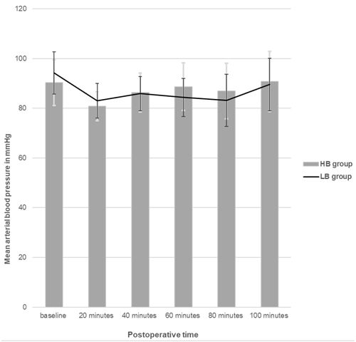
Material y métodos: Cien mujeres embarazadas a término que se sometieron a una cesárea electiva se distribuyeron aleatoriamente en dos grupos iguales de acuerdo con la dosis de bupivacaína administrada para la anestesia espinal. El grupo de bupivacaína de dosis baja (grupo LB) y el grupo de bupivacaína de dosis alta (grupo HB) recibieron 8 mg y 10 mg de bupivacaína respectivamente. La incidencia y la gravedad de los escalofríos se registraron como resultados primarios. Otras mediciones fueron la frecuencia cardiaca, la presión arterial media, la temperatura de la membrana timpánica y el nivel de bloqueo sensorial.
Resultados: El nivel de bloqueo espinal fue mayor en el grupo HB en comparación con el grupo LB (p = 0,02). La incidencia de escalofríos intraoperatorios fue de 15 (30 %) en el grupo HB y de 10 (20 %) en el grupo LB (p = 0,032), mientras que las puntuaciones de escalofríos no fueron significativas. La incidencia de escalofríos postoperatorios fue de 16 (32 %) en el grupo HB y de11 (22 %) en el grupo LB (p = 0,043). Las temperaturas intraoperatorias de la membrana timpánica mostraron una reducción muy significativa con respecto a la línea de base (p < 0,0001), mientras que los valores postoperatorios no mostraron diferencias significativas con respecto a la línea de base.
Conclusiones: El nivel de bloqueo espinal más que la dosis de bupivacaína intratecal afecta la incidencia de escalofríos. A niveles bajos de bloqueo espinal, la incidencia de escalofríos disminuye sin efecto sobre el grado de escalofríos.



ABSTRACT

Objective: The aim of this study was to investigate the relationship between the intrathecal dose of hyperbaric bupivacaine and the incidence and severity of post spinal shivering in parturients undergoing cesarean section.
Material and methods: A hundred full term pregnant ladies undergoing elective cesarian section were randomized into two equal groups according to bupivacaine dose given for spinal anesthesia. low dose bupivacaine group (LB group) and high dose bupivacaine group (HB group) received 8 mg and 10mg bupivacaine respectively. The incidence and severity of shivering were recorded as primary outcomes. Other measurements were heart rate, mean arterial blood pressure, tympanic membrane temperature, sensory block level.
Results: The level of spinal block was higher in HB group compared with LB group (p = 0.02). The incidence of intra-operative shivering was 15 (30 %) in HB group and 10 (20 %) in LB group (p = 0.032) while the shivering scores were not significant. The incidence of postoperative shivering was 16 (32 %) in HB group and 11 (22 %) in LB group (p = 0.043). Intra-operative tympanic membrane temperatures showed a highly significant reduction from the baseline (p < 0.0001) while postoperative values showed no significant difference from the baseline.
Conclusions: The level of the spinal block rather than the dose of intrathecal bupivacaine affects the incidence of shivering. At low levels of the spinal block the incidence of shivering is decreased with no effect on the degree of shivering.





Artículo Completo

Nuevo comentario

Código de seguridad:
CAPTCHA code image
Speak the codeChange the code
 

Comentarios

No hay comentarios para este artículo.

Bibliografía

1. De Figueiredo Locks G. Incidence of shivering after cesarean section under spinal anesthesia with or without intrathecal sufentanil: a randomized study. Rev Bras Anestesiol. 2012;62(5):676-84.
2. Munday J, Osborne S, Yates P, Sturgess D, Jones L, Gosden E. Preoperative Warming Versus no Preoperative Warming for Maintenance of Normothermia in Women Receiving Intrathecal Morphine for Cesarean Delivery: A Single-Blinded, Randomized Controlled Trial. Anesth Analg. 2018;126(1):183-9.
3. Frank SM, Fleisher LA, Olson KF, Gorman RB, Higgins MS, Breslow MJ, et al. Multivariate determinants of early postoperative oxygen consumption in elderly patients. Effects of shivering, body temperature, and gender. Anesthesiology. 1995;83(2):241-9.
4. Saito T, Sessler DI, Fujita K, Ooi Y, Jeffrey R. Thermoregulatory effects of spinal and epidural anesthesia during cesarean delivery. Reg Anesth Pain Med. 1998;23(4):418-23.
5. Harper CM, Alexander R. Hypothermia and spinal anaesthesia. Anaesthesia. 2006;61(6):612.
6. Ciofolo MJ, Clergue F, Devilliers C, Ben-Ammar M, Viars P. Changes in ventilation, oxygen uptake, and carbon dioxide output during recovery from isoflurane anesthesia. Anesthesiology. 1989;70(5):737-41.
7. Hidayah MN, Liu CY, Joanna OS. Ketamine and tramadol for the prevention of shivering during spinal anaesthesia. Clin Ter. 2014;165(4):193-8.
8. Mittal G, Gupta K, Katyal S, Kaushal S. Randomised double-blind comparative study of dexmedetomidine and tramadol for post-spinal anaesthesia shivering. Indian J Anaesth. 2014;58(3):257-62.
9. Nallam SR, Cherukuru K, Sateesh G. Efficacy of Intravenous Ondansetron for Prevention of Postspinal Shivering during Lower Segment Cesarean Section: A Double-Blinded Randomized Trial. Anesth Essays Res. 2017;11(2):508-13.
10. Tsai YC, Chu KS. A comparison of tramadol, amitriptyline, and meperidine for postepidural anesthetic shivering in parturients. Anesth Analg. 2001;93(5):1288-92.
11. Hill DA1, McCarthy G, Bali IM. Epidural infusion of alfentanil or diamorphine with bupivacaine in labour--a dose finding study. Anaesthesia. 1995;50(5):415-9.
12. Sultan P, Habib AS, Cho Y, Carvalho B. The Effect of patient warming during Caesarean delivery on maternal and neonatal outcomes: a meta-analysis. Br J Anaesth. 2015;115(4):500-10.
13. Glosten B, Hynson J, Sessler DI, McGuire J. Preanesthetic skin-surface warming reduces redistribution hypothermia caused by epidural block. Anesth Analg. 1993;77(3):488-93.
14. Bengtsson M. Changes in skin blood flow and temperature during spinal analgesia evaluated by laser Doppler flowmetry and infra-red thermography. Acta Anaesthesiol Scand. 1984;28(6):625-30.
15. Sessler DI, McGuire J, Sessler AM. Perioperative thermal insulation. Anesthesiology. 1991;74(5):875-9.
16. Ozaki M, Kurz A, Sessler DI, Lenhardt R, Schroeder M, Moayeri A, et al. Thermoregulatory thresholds during epidural and spinal anesthesia. Anesthesiology. 1994;81(2):282-8.
17. Kurz A, Sessler DI, Schroeder M, Kurz M. Thermoregulatory response thresholds during spinal anesthesia. Anesth Analg. 1993;77(4):721-6.
18. Leslie K, Sessler DI. Reduction in the shivering threshold is proportional to spinal block height. Anesthesiology. 1996;84(6):1327-31.
19. Klimek M, Rossaint R, Van de Velde M, Heesen M. Combined spinal-epidural vs spinal anaesthesia for caesarean section: meta-analysis and trial-sequential analysis. Anaesthesia. 2018;73(7):875-88.
20. Fan SZ, Susetio L, Wang YP, Cheng YJ, Liu CC. Low dose of intrathecal hyperbaric bupivacaine combined with epidural lidocaine for cesarean section--a balance block technique. Anesth Analg. 1994;78(3):474-7.
21. Ben-David B, Miller G, Gavriel R, Gurevitch A. Low-dose bupivacaine-fentanyl spinal anesthesia for cesarean delivery. Reg Anesth Pain Med. 2000;25(3):235-9.
22. Teoh WHL, Sia ATH. Ultra-low dose combined spinal-epidural anaesthesia for Caesarean section in severe preeclampsia. Anaesthesia. 2006;61(5):511-2.
23. Kaya S, Karaman H, Erdogan H, Akyilmaz A, Turhanoglu S. Combined use of low-dose bupivacaine, colloid preload and wrapping of the legs for preventing hypotension in spinal anaesthesia for caesarean section. J Int Med Res. 2007;35(5):615-25.
24. Vercauteren MP, Coppejans HC, Hoffmann VL, Saldien V, Adriaensen HA. Small-dose hyperbaric versus plain bupivacaine during spinal anesthesia for cesarean section. Anesth Analg. 1998;86(5):989-93.
25. Tang WX, Li JJ, Bu HM, Fu ZJ. Spinal anaesthesia with low-dose bupivacaine in marginally hyperbaric solutions for caesarean section: A randomised controlled trial. Eur J Anaesthesiol. 2015;32(7):493-8.
26. Roofthooft E, Van de Velde M. Low-dose spinal anaesthesia for Caesarean section to prevent spinal-induced hypotension. Curr Opin Anaesthesiol. 2008;21(3):259-62.

Tablas y Figuras

Figure 1

Table I

Table II

Figure 2

Figure 3

Figure 4

Figure 5

Artículos relacionados

Necesidades asistenciales de la terapia de infusión intratecal en pacientes con dolor oncológico

Rev. Soc. Esp. Dolor. 2023; 30(4): 227-242 / DOI: 10.20986/resed.2024.4099/2023

Anestesia y analgesia epidural cervical para cirugía de miembro superior

Rev. Soc. Esp. Dolor. 2019; 26(5): 304-308 / DOI: 10.20986/resed.2019.3686/2018

Síndrome de dolor miofascial como causa de dolor agudo postoperatorio en la cirugía de cadera

Rev. Soc. Esp. Dolor. 2019; 26(2): 117-119 / DOI: 10.20986/resed.2019.3655/2018

¿Sirven los opioides de liberación inmediata para el dolor del miembro fantasma? Caso clínico

Rev Soc Esp Dolor 2017; 24(5): 269-272 / DOI: 10.20986/resed.2017.3579/2017

Instrucciones para citar

Wesameldin A, Ezzeldin S, Abd-Elazeem A. El impacto de la dosis de bupivacaína en el escalofrío postespinal en la cesárea: un ensayo aleatorizado. Rev Soc Esp Dolor 2022; 29(3): 132-139 / DOI: 1020986/resed20224039/2022


Descargar a un gestores de citas

Descargue la cita de este artículo haciendo clic en uno de los siguientes gestores de citas:

Métrica

Este artículo ha sido visitado 20540 veces.
Este artículo ha sido descargado 65 veces.

Estadísticas de Dimensions


Estadísticas de Plum Analytics

Ficha Técnica

Recibido: 06/11/2022

Aceptado: 20/12/2022

Prepublicado: 21/12/2022

Publicado: 26/01/2023

Tiempo de revisión del artículo: 9 días

Tiempo de prepublicación: 45 días

Tiempo de edición del artículo: 81 días


Compartir

Este artículo aun no tiene valoraciones.
Valoración del lector:
Valora este artículo:
© 2025 Revista de la Sociedad Española del Dolor
ISSN: 1134-8046   e-ISSN: 2254-6189

      Indexada en: