Año 2024 / Volumen 31 / Número 2

Revisión

Integrating pain science education in a multicomponent treatment for individuals with fibromyalgia: a practical guide for clinicians
Integrando la educación en ciencia del dolor en un tratamiento multicomponente para personas con fibromialgia: una guía práctica clínica

Rev. Soc. Esp. Dolor. 2024; 31(2): 106-120 / DOI: 10.20986/resed.2025.4157/2024

Mayte Serrat, Estibaliz Royuela, Jo Nijs, Xavier Borràs, Juan V. Luciano, Rubén Nieto, Albert Feliu


RESUMEN

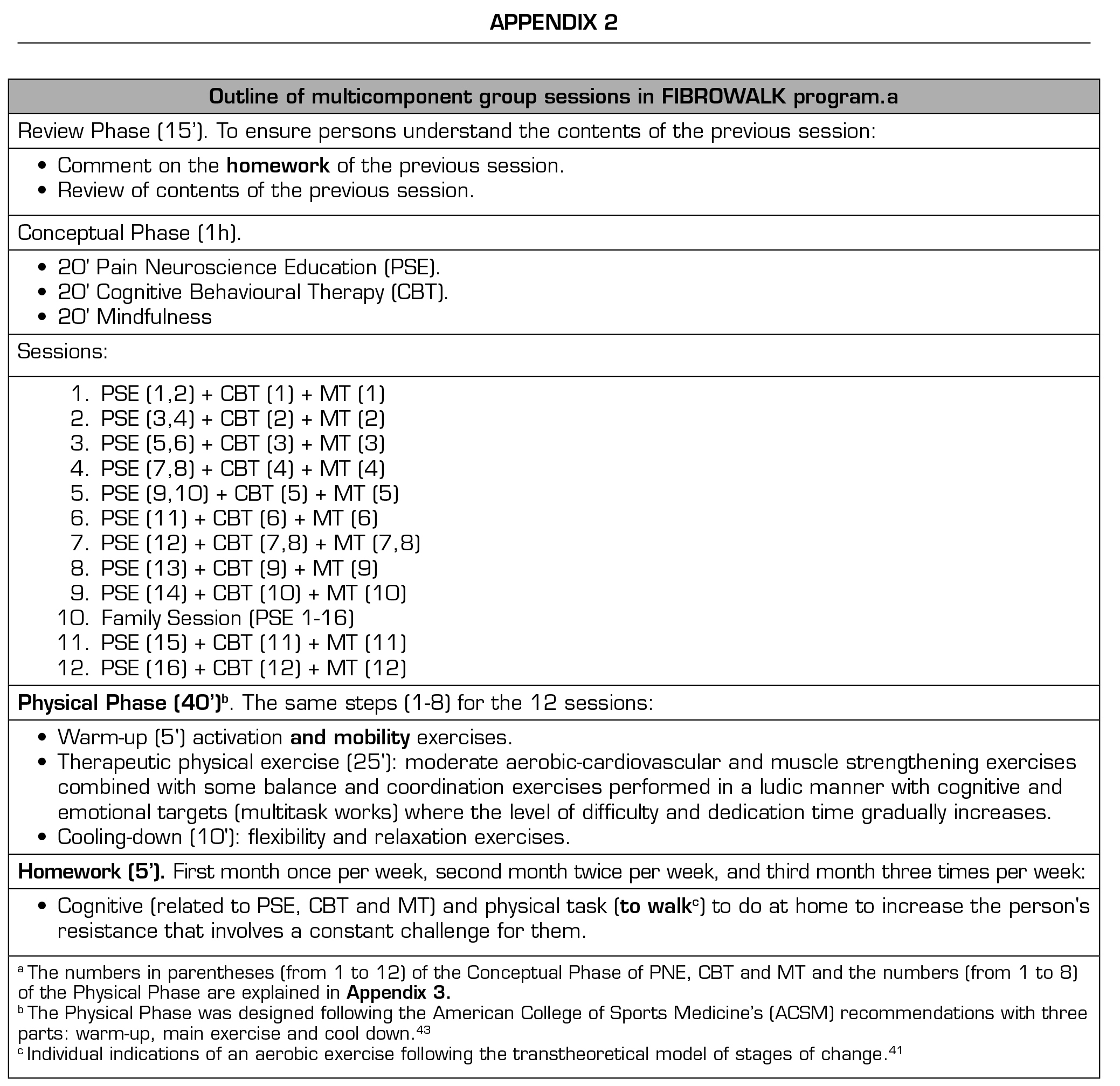
There is a growing body of literature acknowledging the significance of integrating multiple therapeutic components to effectively manage the wide range of symptoms related to fibromyalgia (FM). Empirically supported approaches such as pain science education, therapeutic physical exercise programs, and cognitive behavioural therapy (CBT) have garnered considerable attention. The FIBROWALK program incorporates Pain Science Education (PSE) as its core component. This comprehensive program amalgamates diverse components, including therapeutic physical exercise designed to engage cognitive and emotional targets through dual tasks, and adhering to the transtheoretical model of stages of change. Additionally, it integrates CBT and mindfulness training to enhance self-management strategies by reshaping biased pain cognitions and negative beliefs. The program aims to instigate behavioural change by employing motivational interviewing (MI) as the primary communication style. Its ultimate objective lies in fostering lifestyle changes that ensure the sustainability of benefits, thereby enhancing outcomes with more significant and enduring effects. Multiple randomized clinical trials (RCTs) have assessed the effectiveness of FIBROWALK, consistently revealing moderate-to-large effect sizes across core FM-related outcomes. This article provides a practical guide for clinicians, offering insights into seamlessly integrating PSE within a multicomponent treatment package for individuals with FM.



ABSTRACT

Existe una creciente literatura que reconoce la importancia de integrar múltiples componentes terapéuticos para controlar eficazmente la amplia gama de síntomas relacionados con la fibromialgia (FM). Los enfoques respaldados empíricamente, como la educación en ciencia del dolor (PSE), los programas de ejercicio físico terapéutico y la terapia cognitivo-conductual (TCC), han atraído considerable atención. El programa FIBROWALK incorpora PSE como su componente principal. No obstante, este programa integral amalgama diversos componentes, incluido el ejercicio físico terapéutico diseñado para involucrar objetivos cognitivos y emocionales a través de tareas duales y adhiriéndose al modelo transteórico de etapas de cambio. Además, integra la TCC y el entrenamiento de atención plena para mejorar las estrategias de autocontrol al reestructurar las cogniciones sesgadas sobre el dolor y las creencias negativas. El programa FIBROWALK tiene como objetivo provomer un cambio de comportamiento mediante el empleo de la entrevista motivacional (EM) como estilo de comunicación principal. Su objetivo final radica en fomentar cambios en los estilos de vida que aseguren la sostenibilidad de los beneficios, mejorando así los resultados con efectos más significativos y duraderos. Múltiples ensayos clínicos aleatorizados (ECA) han evaluado la efectividad de FIBROWALK, revelando consistentemente tamaños de efecto de moderados a grandes en los principales resultados relacionados con la FM. Este artículo proporciona una guía práctica para los profesionales sanitarios y ofrece información sobre cómo integrar la PSE dentro de un paquete de tratamiento multicomponente para personas con FM.





Artículo Completo

Nuevo comentario

Código de seguridad:
CAPTCHA code image
Speak the codeChange the code
 

Comentarios

No hay comentarios para este artículo.

Bibliografía

1. Wolfe F, Clauw DJ, Fitzcharles MA, Goldenberg DL, Katz RS, Mease P, et al. The American College of Rheumatology Preliminary Diagnostic Criteria for Fibromyalgia and Measurement of Symptom Severity. Arthritis Care Res (Hoboken). 2010;62(5):600-10.
2. Pastor-Mira MA, López-Roig S, Martínez-Zaragoza F, Lledó A, Velasco L, León E, et al. Promoting unsupervised walking in women with fibromyalgia: a randomized controlled trial. Psychol Health Med. 2021;26(4):487-98.
3. Häuser W, Ablin J, Fitzcharles MA, Littlejohn G, Luciano JV, Usui C, Walitt B. Fibromyalgia. Nat Rev Dis Primers. 2015;1(1):15022.
4. Font Gayà T, Bordoy Ferrer C, Juan Mas A, Seoane-Mato D, Álvarez Reyes F, Delgado Sánchez M, et al. Prevalence of fibromyalgia and associated factors in Spain. Prevalence of fibromyalgia and associated factors in Spain. Clin Exp Rheumatol. 2020;38 Suppl 123(1):47-52.
5. Pérez-Aranda A, D'Amico F, Feliu-Soler A, McCracken LM, Peñarrubia-María MT, Andrés-Rodríguez L, et al. Cost–Utility of Mindfulness-Based Stress Reduction for Fibromyalgia versus a Multicomponent Intervention and Usual Care: A 12-Month Randomized Controlled Trial (EUDAIMON Study). J Clin Med. 2019;8(7):1068.
6. Hedman-Lagerlöf M, Andersson E, Ljótsson B, Engelbrektsson J, Lundbäck K, Björkander D, Hedman-Lagerlöf E, et al. Effect moderators in Internet‐based exposure therapy for fibromyalgia: The role of pain intensity. Eur J Pain. 2023;27(4):507-17.
7. Staud R, Spaeth M. Psychophysical and Neurochemical Abnormalities of Pain Processing in Fibromyalgia. CNS Spectr. 2008;13(S5):12-7.
8. Nijs J, George SZ, Clauw DJ, Fernández-de-Las-Peñas C, Kosek E, Ickmans K, et al. Central sensitisation in chronic pain conditions: latest discoveries and their potential for precision medicine. Lancet Rheumatol. 2021;3(5):e383-e392.
9. O’Dwyer T, Maguire S, Mockler D, Durcan L, Wilson F. Behaviour change interventions targeting physical activity in adults with fibromyalgia: a systematic review. Rheumatol Int. 2019;39(5):805-17.
10. Salvat I, Zaldivar P, Monterde S, Montull S, Miralles I, Castel A. Functional status, physical activity level, and exercise regularity in patients with fibromyalgia after Multidisciplinary treatment: retrospective analysis of a randomized controlled trial. Rheumatol Int. 2017;37(3):377-87.
11. Barrenengoa-Cuadra MJ, Muñoa-Capron-Manieux M, Fernández-Luco M, Angón-Puras LÁ, Romón-Gómez AJ, Azkuenaga M, et al. Effectiveness of a structured group intervention based on pain neuroscience education for patients with fibromyalgia in primary care: A multicentre randomized open-label controlled trial. Eur J Pain. 2021;25(5):1137-49.
12. Andrés-Rodríguez L, Borràs X, Feliu-Soler A, Pérez-Aranda A, Rozadilla-Sacanell A, Arranz B, et al. Machine Learning to Understand the Immune-Inflammatory Pathways in Fibromyalgia. Int J Mol Sci. 2019;20(17):4231.
13. Macfarlane GJ, Kronisch C, Dean LE, Atzeni F, Häuser W, Fluß E, et al. EULAR revised recommendations for the management of fibromyalgia. Ann Rheum Dis. 2017;76(2):318-28.
14. Musekamp G, Gerlich C, Ehlebracht-König I, Faller H, Reusch A. Evaluation of a self-management patient education program for patients with fibromyalgia syndrome: study protocol of a cluster randomized controlled trial. BMC Musculoskelet Disord. 2016;17(1):55.
15. Hernando-Garijo I, Jiménez-del-Barrio S, Mingo-Gómez T, Medrano-de-la-Fuente R, Ceballos-Laita L. Effectiveness of non-pharmacological conservative therapies in adults with fibromyalgia: A systematic review of high-quality clinical trials. J Back Musculoskelet Rehabil. 2022;35(1):3-20.
16. de Miquel CA, Campayo JG, Flórez MT, Arguelles JM, Tarrio EB, Montoya MG, et al. Interdisciplinary consensus document for the treatment of fibromyalgia. Actas Esp Psiquiatr. 2010;38(2):108-20.
17. Malfliet A, Kregel J, Coppieters I, De Pauw R, Meeus M, Roussel N, et al. Effect of Pain Neuroscience Education Combined With Cognition-Targeted Motor Control Training on Chronic Spinal Pain. JAMA Neurol. 2018;75(7):808.
18. Macedo LG, Smeets RJEM, Maher CG, Latimer J, McAuley JH. Graded Activity and Graded Exposure for Persistent Nonspecific Low Back Pain: A Systematic Review. Phys Ther. 2010;90(6):860-79.
19. Sánchez A, Nakakaneku G, Miró E, Martínez P. Tratamiento multidisciplinar para la fibromialgia y el síndrome de fatiga crónica: una revisión sistemática. Behavioral Psychology/Psicología Conductual. 2021;29(2):455-88.
20. Häuser W, Bernardy K, Arnold B, Offenbächer M, Schiltenwolf M. Efficacy of multicomponent treatment in fibromyalgia syndrome: A meta‐analysis of randomized controlled clinical trials. Arthritis Care Res (Hoboken). 2009;61(2):216-24.
21. Thieme K, Mathys M, Turk DC. Evidenced-Based Guidelines on the Treatment of Fibromyalgia Patients: Are They Consistent and If Not, Why Not? Have Effective Psychological Treatments Been Overlooked? J Pain. 2017;18(7):747-56.
22. Kia S, Choy E. Update on Treatment Guideline in Fibromyalgia Syndrome with Focus on Pharmacology. Biomedicines. 2017;5(4):20.
23. Sharpe L, Jones E, Ashton‐James CE, Nicholas MK, Refshauge K. Necessary components of psychological treatment in pain management programs: A Delphi study. Eur J Pain. 2020;24(6):1160-8.
24. Serrat M, Sanabria-Mazo JP, Almirall M, Musté M, Feliu-Soler A, Méndez-Ulrich JL, et al. Effectiveness of a Multicomponent Treatment Based on Pain Neuroscience Education, Therapeutic Exercise, Cognitive Behavioral Therapy, and Mindfulness in Patients With Fibromyalgia (FIBROWALK Study): A Randomized Controlled Trial. Phys Ther. 2021;101(12):pzab200.
25. Sobell LC, Sobell MB. Motivational Interviewing strategies and techniques: Rationales and examples [Internet]. Nova; 2025. Disponible en: http://www.nova.edu/gsc/forms/ mi_rationale_techniques.pdf
26. Nijs J, Meeus M, Cagnie B, Roussel NA, Dolphens M, Van Oosterwijck J, et al. A Modern Neuroscience Approach to Chronic Spinal Pain: Combining Pain Neuroscience Education With Cognition-Targeted Motor Control Training. Phys Ther. 2014;94(5):730-8.
27. Mcdowell CP, Cook DB, Herring MP. The Effects of Exercise Training on Anxiety in Fibromyalgia Patients. Med Sci Sports Exerc. 2017;49(9):1868-76.
28. Arcos-Carmona IM, Castro-Sánchez AM, Matarán-Peñarrocha GA, Gutiérrez-Rubio AB, Ramos-González E, Moreno-Lorenzo C. Efectos de un programa de ejercicios aeróbicos y técnicas de relajación sobre el estado de ansiedad, calidad del sueño, depresión y calidad de vida en pacientes con fibromialgia: ensayo clínico aleatorizado. Med Clin (Barc). 2011;137(9):398-401.
29. Amer-Cuenca JJ, Pecos-Martín D, Martínez-Merinero P, Lluch Girbés E, Nijs J, Meeus M, et al. How Much Is Needed? Comparison of the Effectiveness of Different Pain Education Dosages in Patients with Fibromyalgia. Pain Medicine. 2020;21(4):782-93.
30. Malfliet A, Van Oosterwijck J, Meeus M, Cagnie B, Danneels L, Dolphens M, et al. Kinesiophobia and maladaptive coping strategies prevent improvements in pain catastrophizing following pain neuroscience education in fibromyalgia/chronic fatigue syndrome: An explorative study. Physiother Theory Pract. 2017;33(8):653-60.
31. Geneen LJ, Moore RA, Clarke C, Martin D, Colvin LA, Smith BH. Physical activity and exercise for chronic pain in adults: an overview of Cochrane Reviews. In: Geneen LJ, ed. Cochrane Database of Systematic Reviews. John Wiley & Sons, Ltd; 2017.
32. Butler D, Moseley L, Sunyata A. Explain Pain. Noigroup Publications; 2016.
33. Nijs J, Paul van Wilgen C, Van Oosterwijck J, van Ittersum M, Meeus M. How to explain central sensitization to patients with ‘unexplained’ chronic musculoskeletal pain: Practice guidelines. Man Ther. 2011;16(5):413-8.
34. Nijs J, Wijma AJ, Willaert W, Huysmans E, Mintken P, Smeets R,et al. Integrating Motivational Interviewing in Pain Neuroscience Education for People With Chronic Pain: A Practical Guide for Clinicians. Phys Ther. 2020;100(5):846-59.
35. Roose E, Nijs J, Moseley GL. Striving for better outcomes of treating chronic pain: integrating behavioural change strategies before, during, and after modern pain science education. Braz J Phys Ther. 2023;27(6):100578.
36. Miller WR, Moyers TB. Motivational interviewing and the clinical science of Carl Rogers. J Consult Clin Psychol. 2017;85(8):757-66.
37. Miller WR, Stephen R. Motivational Interviewing: Helping People Change. 3rd ed. Guilford press; 2013.
38. Rubak S, Sandbaek A, Lauritzen T, Christensen B. Motivational interviewing: a systematic review and meta-analysis. Br J Gen Pract. 2005;55(513):305-12.
39. Miller WR, Rollnick S. Ten Things that Motivational Interviewing Is Not. Behavioural and Cognitive Psychotherapy. 2009;37(2):129-40.
40. Frost H, Campbell P, Maxwell M, O'Carroll RE, Dombrowski SU, Williams B,et al. Effectiveness of Motivational Interviewing on adult behaviour change in health and social care settings: A systematic review of reviews. PLoS One. 2018;13(10):e0204890.
41. Alperstein D, Sharpe L. The Efficacy of Motivational Interviewing in Adults With Chronic Pain: A Meta-Analysis and Systematic Review. J Pain. 2016;17(4):393-403.
42. Bidonde J, Busch AJ, Schachter CL, Overend TJ, Kim SY, Góes SM, et al. Aerobic exercise training for adults with fibromyalgia. Cochrane Database of Systematic Reviews. 2017;2017(6).
43. Bidonde J, Busch A, Bath B, Milosavljevic S. Exercise for Adults with Fibromyalgia: An Umbrella Systematic Review with Synthesis of Best Evidence. Curr Rheumatol Rev. 2014;10(1):45-79.
44. Da Costa D, Abrahamowicz M, Lowensteyn I, Bernatsky S, Dritsa M, Fitzcharles MA, et al. A randomized clinical trial of an individualized home-based exercise programme for women with fibromyalgia. Rheumatology. 2005;44(11):1422-7.
45. García-Ríos MC, Navarro-Ledesma S, Tapia-Haro RM, Toledano-Moreno S, Casas-Barragán A, Correa-Rodríguez M,et al. Effectiveness of health education in patients with fibromyalgia: a systematic review. Eur J Phys Rehabil Med. 2019;55(2):301-13.
46. Izquierdo-Alventosa R, Inglés M, Cortés-Amador S, Gimeno-Mallench L, Sempere-Rubio N, Serra-Añó P. Effectiveness of High-Frequency Transcranial Magnetic Stimulation and Physical Exercise in Women With Fibromyalgia: A Randomized Controlled Trial. Phys Ther. 2021;101(10):pzab159.
47. Nijs J, Torres-Cueco R, van Wilgen CP, Girbes EL, Struyf F, Roussel N,et al. Applying modern pain neuroscience in clinical practice: criteria for the classification of central sensitization pain. Pain Physician. 2014;17(5):447-57.
48. Thompson PD, Arena R, Riebe D, Pescatello LS. ACSM’s New Preparticipation Health Screening Recommendations from ACSM’s Guidelines for Exercise Testing and Prescription, Ninth Edition. Curr Sports Med Rep. 2013;12(4):215-7.
49. Prochaska JO. Decision Making in the Transtheoretical Model of Behavior Change. Medical Decision Making. 2008;28(6):845-9.
50. Vlaeyen JWS, Kole-Snijders AMJ, Boeren RGB, van Eek H. Fear of movement/(re)injury in chronic low back pain and its relation to behavioral performance. Pain. 1995;62(3):363-72.
51. Kabat-Zinn J. An outpatient program in behavioral medicine for chronic pain patients based on the practice of mindfulness meditation: Theoretical considerations and preliminary results. Gen Hosp Psychiatry. 1982;4(1):33-47.
52. Gordon S, Brown R, Hogan M, Menzies V. Mindfulness as a Symptom Management Strategy for Fibromyalgia: An Integrative Review. Journal of Holistic Nursing. 2023;41(2):200-14.
53. Kundakci B, Kaur J, Goh SL, et al. Efficacy of nonpharmacological interventions for individual features of fibromyalgia: a systematic review and meta-analysis of randomised controlled trials. Pain. 2022;163(8):1432-45.
54. Serrat M, Almirall M, Musté M, Sanabria-Mazo JP, Feliu-Soler A, Méndez-Ulrich JL, et al. Effectiveness of a Multicomponent Treatment for Fibromyalgia Based on Pain Neuroscience Education, Exercise Therapy, Psychological Support, and Nature Exposure (NAT-FM): A Pragmatic Randomized Controlled Trial. J Clin Med. 2020;9(10):3348.
55. Serrat M, Coll-Omaña M, Albajes K, Solé S, Almirall M, Luciano JV, et al. Efficacy of the FIBROWALK Multicomponent Program Moved to a Virtual Setting for Patients with Fibromyalgia during the COVID-19 Pandemic: A Proof-of-Concept RCT Performed Alongside the State of Alarm in Spain. Int J Environ Res Public Health. 2021;18(19):10300.
56. Spink KS, Ulvick JD, Crozier AJ, Wilson KS. Group cohesion and adherence in unstructured exercise groups. Psychol Sport Exerc. 2014;15(3):293-8.
57. Saracoglu I, Akin E, Aydin Dincer GB. Efficacy of adding pain neuroscience education to a multimodal treatment in fibromyalgia: A systematic review and meta-analysis. Int J Rheum Dis. 2022;25(4):394-404.
58. Eisele-Metzger A, Schoser DS, Klein MD, Grummich K, Schwarzer G, Schwingshackl L, et al. Interventions for preventing back pain among office workers - a systematic review and network meta-analysis. Scand J Work Environ Health. 2023;49(1):5-22.
59. Häuser W, Bernardy K, Arnold B, Offenbächer M, Schiltenwolf M. Efficacy of multicomponent treatment in fibromyalgia syndrome: a meta-analysis of randomized controlled clinical trials. Arthritis Rheum. 2009;61(2):216-24.
60. Burckhardt CS. Multidisciplinary approaches for management of fibromyalgia. Curr Pharm Des. 2006;12(1):59-66.
61. Araya-Quintanilla F, Gutiérrez-Espinoza H, Fuentes J, Prieto-Lafrentz F, Pavez L, Cristi-Montero C, et al. Effectiveness of multicomponent treatment in patients with fibromyalgia: protocol for a systematic review and meta-analysis. Syst Rev. 2022;11(1):69.

Tablas y Figuras

Figure 1

Table I

Table II

Artículos relacionados

Efectos de la hidroterapia sobre el dolor en osteoartritis y fibromialgia: una revisión narrativa

Rev. Soc. Esp. Dolor. 2022; 29(2): 78-87 / DOI: 10.20986/resed.2022.3955/2021

Actitud y conocimiento actual del especialista español en tratamiento del dolor respecto al cannabis medicinal

Rev. Soc. Esp. Dolor. 2022; 29(13): 52-57 / DOI: 10.20986/resed.2022.4032/2022

¿Es útil el cannabis medicinal para el tratamiento de la fibromialgia?

Rev. Soc. Esp. Dolor. 2022; 29(13): 27-31 / DOI: 10.20986/resed.2022.4029/2022

Recomendaciones clínicas para la rehabilitación de personas con fibromialgia. Una revisión narrativa

Rev. Soc. Esp. Dolor. 2021; 28(4): 194-210 / DOI: 10.20986/resed.2021.3932/2021

Eficacia de las perfusiones de lidocaína en la fibromialgia

Rev. Soc. Esp. Dolor. 2020; 27(5): 287-291 / DOI: 10.20986/resed.2020.3796/2020

Personalidad y fibromialgia

Rev Soc Esp Dolor 2018; 25(Supl. 1): 64-73 / DOI: 10.20986/resed.2017.3607/2016

Neuroimagen de la fibromialgia: una enfermedad del cerebro

Rev Soc Esp Dolor 2018; 25(Supl. 1): 36-45 / DOI: 10.20986/resed.2017.3604/2016

Caracterización del dolor fibromiofascial, hipótesis etiológica, aplicación y efecto del tratamiento

Rev Soc Esp Dolor 2017; 24(4): 201-210 / DOI: 10.20986/resed.2017.3478/2016

Revisión del qigong como terapia alternativa en el tratamiento de la fibromialgia

Rev Soc Esp Dolor 2017; 24(2): 96-103 / DOI: 10.20986/resed.2016.3480/2016

Instrucciones para citar

Serrat M, Royuela E, Nijs J, Borràs X, Luciano J, Nieto R, et all. Integrating pain science education in a multicomponent treatment for individuals with fibromyalgia: a practical guide for clinicians . Rev Soc Esp Dolor 2024; 31(2): 106-120 / DOI: 1020986/resed20254157/2024


Descargar a un gestores de citas

Descargue la cita de este artículo haciendo clic en uno de los siguientes gestores de citas:

Métrica

Este artículo ha sido visitado 7973 veces.
Este artículo ha sido descargado 42 veces.

Estadísticas de Dimensions


Estadísticas de Plum Analytics

Ficha Técnica

Recibido: 18/05/2024

Aceptado: 31/01/2025

Prepublicado: 02/04/2025

Publicado: 04/07/2025

Tiempo de prepublicación: 319 días

Tiempo de edición del artículo: 412 días


Compartir

Este artículo aun no tiene valoraciones.
Valoración del lector:
Valora este artículo:
© 2025 Revista de la Sociedad Española del Dolor
ISSN: 1134-8046   e-ISSN: 2254-6189

      Indexada en: