Año 2023 / Volumen 30 / Número 3

Artículo de la revista EJP

La realidad virtual eleva el umbral de dolor por presión y reduce la ansiedad en niños comparada con controles y controles no inmersivos. Un estudio aleatorizado y cruzado
Virtual reality increases pressure pain threshold and lowers anxiety in children compared with control and non-immersive control— randomized, crossover trial

Rev. Soc. Esp. Dolor. 2023; 30(3): 196-206

L. Kjeldgaard Pedersen, L. Y. V. Fisker, J. D. Rölfing, P. Ahlburg, M. Veien, L. Vase, B. Møller-Madsen


RESUMEN

Antecedentes: La realidad virtual (RV) es una intervención del dolor no farmacológica y prometedora porque es capaz no solo de distraer el dolor sino también de modularlo sumergiendo al usuario en una realidad paralela tridimensional de 360°. Se ha informado que, en niños, la RV reduce el dolor clínico y la ansiedad durante las intervenciones médicas. No obstante, se siguen investigando los efectos de la RV inmersiva sobre el dolor y la ansiedad mediante ensayos controlados aleatorios (ECA). El objetivo del presente ECA cruzado es la evaluación de los efectos de la RV sobre el umbral dedolor por presión (UDP) y el nivel de ansiedad medidos con la modified Yale Preoperative Anxiety Scale (mYPAS) en niños en un entorno experimental controlado.
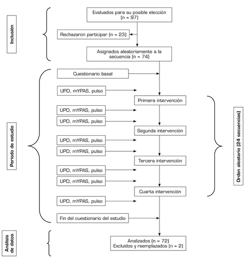
Metodología: Un total de setenta y dos niños (edad promedio de 10,2 (6 a 14) años) fueron asignados aleatoriamente a 24 secuencias de cuatro intervenciones (juego de RV inmersiva, vídeo de RV inmersiva, tableta electrónica: vídeo en 2D y controles: pequeña charla). Antes y después de cada intervención se evaluaron las medidas de resultados siguientes: UDP, mYPAS y frecuencia cardiaca.
Resultados: Se observó un aumento significativo en el UDP durante el juego de RV (PPTdiff): 136kPa (CI 112; 161), p < 0,0001 y vídeo de RV (PPTdiff): 122kPa (CI 91; 153), p < 0,0001. Además, los niveles de ansiedad disminuyeron de forma significativa durante el juego de RV (mYPASdiff: −7 puntos (−8 a −5), p < 0,0001) y el vídeo de RV (mYPASdiff: −6 puntos (CI −7; −4), p < 0,0001).
Conclusiones: La RV demostró tener unos efectos notablemente beneficiosos sobre el UDP y la ansiedad comparada con las intervenciones de control: vídeo en 2D y pequeña charla. Así, la RV inmersiva tuvo un efecto modulatorio distintivo sobre el dolor y la ansiedad en un entorno experimental adecuadamente controlado. La RV inmersiva ha demostrado ser eficaz y viable en niños y puede comportarse como una herramienta válida para el manejo del dolor no farmacológico y de la ansiedad.
Alcance: La RV inmersiva pediátrica parece ser beneficiosa, aunque está pendiente la realización de estudios adecuadamente controlados. Hemos investigado si la RV inmersiva puede modular el umbral de dolor y el nivel de ansiedad en niños en un entorno experimental adecuadamente controlado. Documentamos un aumento modulador en el umbral de dolor y un descenso modulador del nivel de ansiedad comparados con condiciones de control exhaustivas. La RV inmersiva pediátrica es eficaz, viable y válida para el manejo del dolor no farmacológico y de la ansiedad. Todos los esfuerzos pretenden alcanzar el objetivo de que ningún niño experimente dolor o ansiedad mientras atraviesa un procedimiento médico.



ABSTRACT

Background: Virtual reality (VR) is a promising non-pharmacological pain intervention because it may not only distract but also modulate pain by immersing the user in a three-dimensional 360° alternate reality. In children, VR has been reported to reduce clinical pain and anxiety during medical procedures. However, the effect of immersive VR on pain and anxiety remains to be investigated in randomized controlled trials (RCT). The aim of the present crossover RCT was to assess the effect of VR on pressure pain threshold (PPT) and anxiety level measured with the modified Yale Preoper-ative Anxiety Scale (mYPAS) in children in a controlled experimental setting.
Methods: Seventy-two children (mean age 10.2 (6–14) years) were randomized to 24 sequences of four interventions (immersive VR Game, immersive VR video, tablet: 2D video and control: small talk). Outcome measures PPT, mYPAS and heart rate were assessed before and after each intervention.
Results: PPT increased significantly during VR game (PPTdiff): 136 kPa (CI 112; 161), p < 0.0001 and VR Video (PPTdiff): 122 kPa (CI 91; 153), p < 0.0001. Also, anxiety levels significantly decreased during both VR game (mYPASdiff: −7 points (−8 to −5), p < 0.0001) and VR video (mYPASdiff: −6 points (CI −7; −4), p < 0.0001).
Conclusions: VR had a marked beneficial effect on PPT and anxiety compared with the control interventions: 2D video and small talk. Thus, immersive VR had a distinct modulatory effect on pain and anxiety in a well-controlled experimental setting. Immersive VR was effective and feasible in children and can act as a valid tool for non-pharmacological pain and anxiety management.
Significance: Paediatric immersive VR seems to be beneficial although well-controlled studies are pending. We investigated whether immersive VR can modulate children’s threshold for pain and anxiety level in an experimental well-controlled setting. We document a modulatory pain threshold increase andanxiety level decrease compared with extensive control conditions. Paediatric immersive VR is effective, feasible and valid for non-pharmacological pain and anxiety management. All efforts to reach the goal that no child should experience pain or anxiety when exposed to medical procedures.





Artículo Completo

Nuevo comentario

Código de seguridad:
CAPTCHA code image
Speak the codeChange the code
 

Comentarios

No hay comentarios para este artículo.

Bibliografía

1. Chan, E., Foster, S., Sambell, R., & Leong, P. (2018). Clinical efficacy of virtual reality for acute procedural pain management: A systematic review and meta-analysis. PLoS One, 2018, 1–13.
2. Arane, K., Behboudi, A., & Goldman, R. (2017). Virtual reality for pain and anxiety management in children. Canadian Family Physician, 63, 932–934.
3. Colloca, L., Raghuraman, N., Wang, Y., Akintola, T., Brawn-Cinani, B., Colloca, G., Kier, C., Varshney, A., & Murthi, S. (2020). Virtual reality: Physiological and behavioral mechanisms to increase individual pain tolerance limits. Pain, 161, 2010–2020.
4. Gomez-Polo, C., Vilches, A., Castano-Seiquer, A., & Montero, J. (2021). Behaviour and anxiety Management of Paediatric Dental Patients through virtual reality: A randomized clinical trial. Journal of Clinical Medicine, 10, 1–13.
5. Chan, E., Hovenden, M., Ramage, E., Ling, N., Pham, J. H., Rahim, A., Lam, C., Liu, L., Foster, S., Sambell, R., Jeyachanthiran, K., Crock, C., Stock, A., Hopper, S. M., Cohen, S., Davidson, A., Plummer, K., Mills, E., Craig, S. S., … Leong, P. (2019). Virtual reality for pediatric needle procedural pain: Two randomized clinical trials. The Journal of Pediatrics, 209, 160–167.
6. Eijlers, R., Utens, E., Staals, L. M., de Nijs, P. F. A., Berghmans, J. M., Wijnen, R. M. H., Hillegers, M. H. J., Dierckx, B., & Legerstee, J. S. (2019). Systematic review and meta-analysis of virtual reality in pediatrics: Effects on pain and anxiety. Anesthesia and Analgesia, 129, 1344–1353.
7. Jivraj, B., Schaeffer, E., Bone, J., Stunden, C., Habib, E., Jacob, J., & Mulpuri, K. (2020). The use of virtual reality in reducing anxiety during cast removal: A randomized controlled trial. Journal of Children's Orthopaedics, 14, 574–580.
8. Dwan, K., Li, T., Altman, D., & Elbourne, D. (2019). CONSORT 2010 statement: Extension to randomised crossover trials. BMJ, 366, 1–16.
9. Mulkey, M., Hardin, S., & Schoemann, A. (2019). Conducting a device feasibility study. Clinical Nursing Research, 28, 255–262.
10. Dahlquist, L., McKenna, K., Jones, K., Dillinger, L., Weiss, K., & Ackerman, C. (2007). Active and passive distraction using a head-mounted display helmet: Effects on cold pressor pain in children. Health Psychology, 26, 794–801.
11. Law, E., Dahlquist, L., Sil, S., Weiss, K., Herbert, L., Wohlheiter, K., & Horn, S. (2011). Videogame distraction using virtual reality technology for children experiencing cold pressor pain: The role of cognitive processing. Journal of Pediatric Psychology, 36, 84–94.
12. Kain, Z., Mayes, L., Cicchetti, D., Bagnall, A., Finley, J., & Hofstadter, M. (1997). The Yale preoperative anxiety scale: How does it compare with a “gold standard”? Anesthesia and Analgesia, 85, 783–788.
13. Nikolajsen, L., Kristensen, A., Pedersen, L., Rahbek, O., Jensen, T., & Møller-Madsen, B. (2011). Intra-and interrater agreement of pressure pain thresholds in children with orthopedic disorders. Journal of Children's Orthopaedics, 5, 173–178.
14. Pedersen, L. K., Martinkevich, P., Rahbek, O., Nikolajsen, L., & Møller-Madsen, B. (2020). Pressure pain thresholds in children before and after surgery: A prospective study. Scandinavian Journal of Pain, 20, 339–344.
15. Skovby, P., Rask, C., Dall, R., Aagaard, H., & Kronborg, H. (2014). Face validity and inter-rater reliability of the Danish version of the modified Yale Preoperative Anxiety Scale. Danish Medical Journal, 61, 1–5.
16. McHugh, M. (2011). Multiple comparison analysis testing in ANOVA. Biochemia Medica, 21, 203–209.
17. King, C., Mano, K., Barnett, K., Pfeiffer, M., Ting, T., & Kashikar-Zuck, S. (2017). Pressure pain threshold and anxiety in adolescent females with and without juvenile fibromyalgia. A Pilot Study. The Clinical Journal of Pain, 33, 620–626.
18. Riquelme, I., Hatem, S., & Montoya, P. (2016). Abnormal pressure pain, touch sensitivity, proprioception, and manual dexterity in children with autism Spectrum disorders. Neural Plasticity, 2016, 1–9.
19. Scheper, M., Pacey, V., Rombaut, L., Adams, R., Tofts, L., Calders, P., Nicholson, L., & Engelbert, R. (2017). Generalized hyperalgesia in children and adults diagnosed with hypermobility syndrome and Ehlers-Danlos syndrome hypermobility type: A discriminative analysis. Arthritis Care and Research, 69, 421–429.
20. Walther-Larsen, S., Petersen, T., Friis, S., Aagaard, G., Drivenes, B., & Opstrup, P. (2019). Immersive virtual reality for pediatric procedural pain: A randomized clinical trial. Hospital Pediatrics, 9, 501–507.
21. Arhold, S., & Betensky, R. (2018). Multi-crossover randomized trial designs in Alzheimer's disease. Annals of Neurology, 84, 168–175.
22. Wellek, S., & Blettner, M. (2012). On the proper use of the crossover Design in Clinical Trials. Deutsches Ärzteblatt International, 109, 276–281.

Tablas y Figuras

Figura 1

Tabla I

Figura 2

Figura 3

Figura 4

Artículos relacionados

Instrucciones para citar

Kjeldgaard Pedersen L, Fisker L, Rölfing J, Ahlburg P, Veien M, Vase L, et all. La realidad virtual eleva el umbral de dolor por presión y reduce la ansiedad en niños comparada con controles y controles no inmersivos. Un estudio aleatorizado y cruzado. Rev Soc Esp Dolor 2023; 30(3): 196-206


Descargar a un gestores de citas

Descargue la cita de este artículo haciendo clic en uno de los siguientes gestores de citas:

Métrica

Este artículo ha sido visitado 30456 veces.
Este artículo ha sido descargado 43 veces.

Ficha Técnica

Aceptado: 22/12/2023

Publicado: 22/12/2023


Compartir

Este artículo aun no tiene valoraciones.
Valoración del lector:
Valora este artículo:
© 2026 Revista de la Sociedad Española del Dolor
ISSN: 1134-8046   e-ISSN: 2254-6189

      Indexada en: