Año 2023 / Volumen 30 / Número 4

Artículo de la revista EJP

Trayectorias del dolor y síntomas de dolor neuropático tras la cirugía de cáncer de pulmón: estudio de cohorte prospectivo
Pain trajectories and neuropathic pain symptoms following lung cancer surgery: a prospective cohort study

Rev. Soc. Esp. Dolor. 2023; 30(4): 270-283 / DOI: 10.1002/ejp.2265

A. V. Danielsen, J. J. Andreasen, B. Dinesen, J. Hansen, K. K. Petersen, K. S. Duch, J. Bisgaard, C. Simonsen, L. Arendt-Nielsen


RESUMEN

Antecedentes: El dolor postquirúrgico persistente (PPSP) tras la cirugía del cáncer de pulmón es frecuente y las definiciones actuales se basan en evaluaciones en un único momento tras la cirugía. Sin embargo, la intensidad del dolor y los síntomas pueden fluctuar y cambiar con el tiempo, y verse afectados por factores múltiples y cambiantes. Se necesitan estudios de los patrones de recuperación postoperatoria y de la transición del dolor agudo al crónico para seguir investigando medidas preventivas y tratamientos que modifiquen las trayectorias de recuperación desfavorables.
Métodos: En este estudio exploratorio, 85 pacientes sometidos a cirugía por cáncer de pulmón presunto o confirmado informaron bimensualmente sobre la intensidad del dolor durante 12 meses. Se investigaron las trayectorias del dolor durante la recuperación, utilizando modelos de trayectorias basados en grupos. También se estudiaron las asociaciones con posibles factores de riesgo de PPSP, incluidas variables clínicas y la puntuación de ansiedad y depresión (HADS).
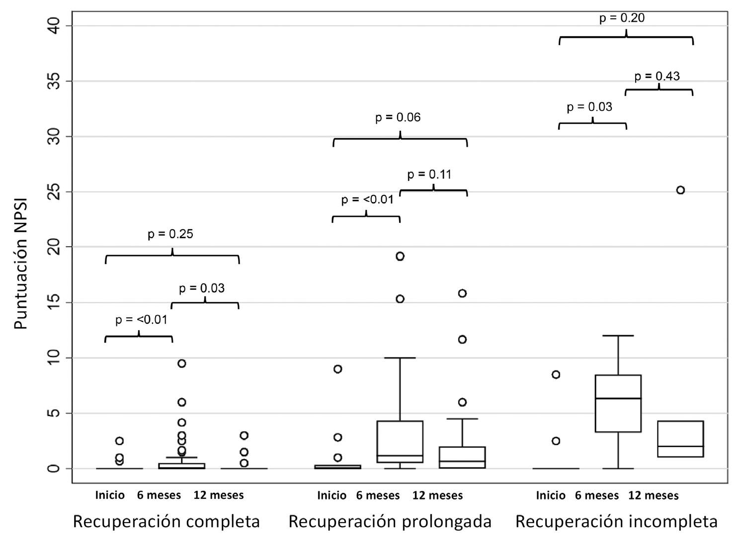
Resultados: Se calculó un modelo de trayectoria que contenía tres grupos de recuperación del dolor a los 12 meses. Un grupo sin PPSP se recuperó totalmente (50 %) en un plazo de dos a tres meses. Otro grupo con PPSP de intensidad leve siguió una trayectoria de recuperación prolongada (37 %), mientras que en el último grupo se observó una recuperación incompleta (13 %). El dolor postoperatorio agudo y la menor edad se asociaron a una trayectoria de recuperación menos favorable. Se observaron más síntomas de dolor neuropático en los pacientes con recuperación incompleta.
Conclusiones: Se identificaron tres trayectorias de recuperación clínicamente relevantes, basadas en un seguimiento exhaustivo del dolor. La mayor intensidad del dolor postoperatorio agudo se asoció a una trayectoria de recuperación del dolor desfavorable.
Declaración de importancia: Comprender la transición del dolor postoperatorio agudo al crónico e identificar los factores de riesgo preoperatorios es esencial para el desarrollo de tratamientos específicos y la aplicación de medidas preventivas. Este estudio: 1) identificó distintas trayectorias de recuperación basadas en seguimientos frecuentes de evaluación del dolor durante 12 meses después de la cirugía; y 2) evaluó los factores de riesgo de trayectorias de recuperación del dolor postoperatorio desfavorables. Los resultados sugieren que una mayor intensidad del dolor postoperatorio al inicio se asocia con una trayectoria de recuperación desfavorable a largo plazo.



ABSTRACT

Background: Persistent postsurgical pain (PPSP) after lung cancer surgery is common and current definitions are based on evaluations at a single time point after surgery. Pain intensity and symptoms may however fluctuate and change over time, and be impacted by multiple and shifting factors. Studies of postoperative recovery patterns and transition from acute to chronic pain are needed for further investigation of preventive measures and treatments to modify unfavourable recovery paths.
Methods: In this explorative study, 85 patients undergoing surgery due to either presumptive or confirmed lung cancer reported pain intensities bi-monthly for 12 months. Pain trajectories during recovery were investigated, using group-based trajectory modelling. Associations with possible risk factors for PPSP, including clinical variables and anxiety and depression score (HADS), were also explored. Results: A trajectory model containing three 12-month pain recovery groups was computed. One group without PPSP fully recovered (50 %) within two to three months. Another group with mild-intensity PPSP followed a protracted recovery trajectory (37 %), while incomplete recovery was observed in the last group (13 %). Acute postoperative pain and younger age were associated with a less favourable recovery trajectory. More neuropathic pain symptoms were observed in patients with incomplete recovery.
Conclusions: Three clinically relevant recovery trajectories were identified, based on comprehensive pain tracking. Higher acute postoperative pain intensity was associated with an unfavourable pain recovery trajectory.
Significance Statement: Understanding the transition from acute to chronic postoperative pain and identifying preoperative risk factors is essential for the development of targeted treatments and the implementation of preventive measures. This study (1) identified distinct recovery trajectories based on frequent pain assessment follow-ups for 12 months after surgery and (2) evaluated risk factors for unfavourable postoperative pain recovery paths. Findings suggest that early higher postoperative pain intensity is associated with an unfavourable long-term recovery path.





Artículo Completo

Nuevo comentario

Código de seguridad:
CAPTCHA code image
Speak the codeChange the code
 

Comentarios

No hay comentarios para este artículo.

Bibliografía

1. Kehlet, H., Jensen, T. S., & Woolf, C. J. (2006). Persistent postsurgical pain: Risk factors and prevention. Lancet (London, England), 367(9522), 1618-1625. DOI: 10.1016/S0140-6736(06)68700-X
2. Schug, S. A., Lavand'homme, P., Barke, A., Korwisi, B., Rief, W., & Treede, R.-D. (2019). The IASP classification of chronic pain for ICD-11: Chronic postsurgical or posttraumatic pain. Pain, 160(1), 45-52. DOI: 10.1097/j.pain.0000000000001413
3. Wang, L., Yang, M., & Meng, W. (2023). Prevalence and Characteristics of Persistent Postoperative Pain After Thoracic Surgery: A Systematic Review and Meta-Analysis. Anesthesia & Analgesia, 137(1), 48-57. DOI: 10.1213/ane.0000000000006452
4. Bayman, E. O., Parekh, K. R., Keech, J., Selte, A., & Brennan, T. J. (2017). A prospective study of chronic pain after thoracic sur- gery. Anesthesiology, 126(5), 938-951. DOI: 10.1097/ ALN.0000000000001576
5. Bayman, E. O., & Brennan, T. J. (2014). Incidence and severity of chronic pain at 3 and 6 months after thoracotomy: Meta- analysis. The Journal of Pain: Official Journal of the American Pain Society, 15(9), 887-897. DOI: 10.1016/j.jpain.2014.06.005
6. Bendixen, M., Jorgensen, O. D., Kronborg, C., Andersen, C., & Licht, P. B. (2016). Postoperative pain and quality of life after lobec- tomy via video-assisted thoracoscopic surgery or anterolateral thoracotomy for early stage lung cancer: A randomised con- trolled trial. The Lancet. Oncology, 17(6), 836-844. DOI: 10.1016/S1470-2045(16)00173-X
7. Wildgaard, K., Ravn, J., & Kehlet, H. (2009). Chronic post- thoracotomy pain: A critical review of pathogenic mechanisms and strategies for prevention. European Journal of Cardio- Thoracic Surgery: Official Journal of the European Association for Cardio-Thoracic Surgery, 36(1), 170-180. DOI: 10. 1016/j.ejcts.2009.02.005
8. Wildgaard, K., Ringsted, T. K., Hansen, H. J., Petersen, R. H., & Kehlet, H. (2016). Persistent postsurgical pain after video-assisted tho- racic surgery - an observational study. Acta Anaesthesiologica Scandinavica, 60(5), 650-658. DOI: 10.1111/aas.12681
9. Bean, D. J., Horne, J., Lee, A. C., & Johnson, M. H. (2021). Pre-sleep cognitive arousal exacerbates sleep disturbance in chronic pain: An exploratory daily diary and actigraphy study. Scandinavian Journal of Pain, 21(4), 724-731. DOI: 10.1515/sjpai n-2020-0185
10. Galve Villa, M., S Palsson, T., Cid Royo, A., R Bjarkam, C., & Boudreau, S. A. (2020). Digital pain mapping and tracking in patients with chronic pain: Longitudinal study. Journal of Medical Internet Research, 22(10), e21475. DOI: 10.2196/21475
11. Batchelor, T. J. P., Rasburn, N. J., Abdelnour-Berchtold, E., Brunelli, A., Cerfolio, R. J., Gonzalez, M., Ljungqvist, O., Petersen, R. H., Popescu, W. M., Slinger, P. D., & Naidu, B. (2019). Guidelines for enhanced recovery after lung surgery: Recommendations of the enhanced recovery after surgery (ERAS®) society and the European Society of Thoracic Surgeons (ESTS). European Journal of Cardio-Thoracic Surgery: Official Journal of the European Association for Cardio-Thoracic Surgery, 55(1), 91-115. DOI: 10.1093/ejcts/ezy301
12. Amaya, F. (2018). A good beginning makes a good ending: Association between acute pain trajectory and chronic postsur- gical pain. Journal of Anesthesia, 32(6), 789-791. DOI: 10.1007/s00540-018-2570-0
13. Gupta, R., Van de Ven, T., & Pyati, S. (2020). Post-thoracotomy pain: Current strategies for prevention and treatment. Drugs, 80(16), 1677-1684. DOI: 10.1007/s40265-020-01390-0
14. Humble, S. R., Dalton, A. J., & Li, L. (2015). A systematic review of therapeutic interventions to reduce acute and chronic post-surgical pain after amputation, thoracotomy or mastec- tomy. European Journal of Pain (London, England), 19(4), 451-465. DOI: 10.1002/ejp.567
15. Bayman, E. O., Parekh, K. R., Keech, J., Larson, N., Vander Weg, M., & Brennan, T. J. (2019). Preoperative patient expectations of postoperative pain are associated with moderate to severe acute pain after VATS. Pain Medicine (Malden, Mass.), 20(3), 543-554. DOI: 10.1093/pm/pny096
16. Gandhi, W., Pomares, F. B., Naso, L., Asenjo, J.-F., & Schweinhardt, P. (2020). Neuropathic pain after thoracotomy: Tracking signs and symptoms before and at monthly intervals following sur- gery. European Journal of Pain (London, England), 24(7), 1269-1289. DOI: 10.1002/ejp.1569
17. Grosen, K., Vase, L., Pilegaard, H. K., Pfeiffer-Jensen, M., & Drewes, M. (2014). Conditioned pain modulation and situational pain catastrophizing as preoperative predictors of pain fol- lowing chest wall surgery: A prospective observational cohort study. PLoS One, 9(2), e90185. DOI: 10.1371/journal. pone.0090185
18. Liu, C. W., Page, M. G., Weinrib, A., Wong, D., Huang, A., McRae, K., Fiorellino, J., Tamir, D., Kahn, M., Katznelson, R., Ladha, K., Abdallah, F., Cypel, M., Yasufuku, K., Chan, V., Parry, M., Khan, J., Katz, J., & Clarke, H. (2021). Predictors of one year chronic post-surgical pain trajectories following thoracic sur- gery. Journal of Anesthesia, 35(4), 505-514. DOI: 10.1007/s00540-021-02943-7
19. Wang, H.-T., Liu, W., Luo, A.-L., Ma, C., & Huang, Y.-G. (2012). Prevalence and risk factors of chronic post-thoracotomy pain in Chinese patients from Peking union medical college hospital. Chinese Medical Journal, 125(17), 3033-3038.
20. Yarnitsky, D., Crispel, Y., Eisenberg, E., Granovsky, Y., Ben-Nun, A., Sprecher, E., Best, L.-A., & Granot, M. (2008). Prediction of chronic post-operative pain: Pre-operative DNIC testing iden- tifies patients at risk. Pain, 138(1), 22-28. DOI: 10.1016/j.pain.2007.10.033
21. Lim, J., Chen, D., McNicol, E., Sharma, L., Varaday, G., Sharma, A., Wilson, E., Wright-Yatsko, T., Yaeger, L., Gilron, I., Finnerup, N. B., & Haroutounian, S. (2021). Risk factors for persistent pain after breast and thoracic surgeries: A systematic literature review and meta-analysis. Pain, 163, 3-20. DOI: 10.1097/j.pain.0000000000002301
22. Ellyson, A. M., Gordon, G., Zhou, C., & Rabbitts, J. A. (2022). Trajectories, risk factors and impact of persistent pain after major musculoskeletal surgery in adolescents: A replication study. The Journal of Pain, 23(6), 995-1005. DOI: 10.1016/j.jpain.2021.12.009
23. Gottschalk, A., & Ochroch, E. A. (2008). Clinical and demographic characteristics of patients with chronic pain after major thora- cotomy. The Clinical Journal of Pain, 24(8), 708-716. DOI: 10.1097/AJP.0b013e318174badd
24. Hovik, L. H., Winther, S. B., Foss, O. A., & Gjeilo, K. H. (2016). Preoperative pain catastrophizing and postoperative pain after total knee arthroplasty: A prospective cohort study with one year follow-up. BMC Musculoskeletal Disorders, 17, 214. DOI: 10.1186/s12891-016-1073-0
25. Müller, M., Bütikofer, L., Andersen, O. K., Heini, P., Arendt-Nielsen, L., Jüni, P., & Curatolo, M. (2021). Cold pain hypersensitivity predicts trajectories of pain and disability after low back sur- gery: A prospective cohort study. Pain, 162(1), 184-194. DOI: 10.1097/j.pain.0000000000002006
26. Danielsen, A. V., Andreasen, J. J., Dinesen, B., Hansen, J., Kjær- Staal Petersen, K., Simonsen, C., & Arendt-Nielsen, L. (2023). Chronic post-thoracotomy pain after lung cancer surgery: A prospective study of preoperative risk factors. Scandinavian Journal of Pain, 23(3), 501-510. DOI: 10.1515/sjpai n-2023-0016
27. Annunziata, M. A., Muzzatti, B., Bidoli, E., Flaiban, C., Bomben, F., Piccinin, M., Gipponi, K. M., Mariutti, G., Busato, S., & Mella, S. (2020). Hospital anxiety and depression scale (HADS) accuracy in cancer patients. Supportive Care in Cancer: Official Journal of the Multinational Association of Supportive Care in Cancer, 28(8), 3921-3926. DOI: 10.1007/s00520-019-05244-8
28. Bouhassira, D., Attal, N., Fermanian, J., Alchaar, H., Gautron, M., Masquelier, E., Rostaing, S., Lanteri-Minet, M., Collin, E., Grisart, J., & Boureau, F. (2004). Development and validation of the neuropathic pain symptom inventory. Pain, 108(3), 248-257. DOI: 10.1016/j.pain.2003.12.024
29. Nagin, D. S., Jones, B. L., Passos, V. L., & Tremblay, R. E. (2016). Group-based multi-trajectory modeling. Statistical Methods in Medical Research, 27(7), 2015-2023. DOI: 10.1177/0962280216673085
30. Jones, B. L., & Nagin, D. S. (2013). A note on a Stata plugin for es- timating group-based trajectory models. Sociological Methods & Research, 42, 608-613. DOI: 10.1177/0049124113503141
31. Nagin, D., & Odgers, C. (2010). Group-based trajectory modeling in clinical research. Annual Review of Clinical Psychology, 6, 109-138. DOI: 10.1146/annurev.clinpsy.121208.131413
32. Katz, J., Jackson, M., Kavanagh, B. P., & Sandler, A. N. (1996). Acute pain after thoracic surgery predicts long-term post-thoracotomy pain. The Clinical Journal of Pain, 12(1), 50-55.
33. Rizk, N. P., Ghanie, A., Hsu, M., Bains, M. S., Downey, R. J., Sarkaria, S., Finley, D. J., Adusumilli, P. S., Huang, J., Sima, C. S., Burkhalter, J. E., Park, B. J., & Rusch, V. W. (2014). A prospec- tive trial comparing pain and quality of life measures after an- atomic lung resection using thoracoscopy or thoracotomy. The Annals of Thoracic Surgery, 98(4), 1160-1166. DOI: 10.1016/j.athoracsur.2014.05.028
34. Awadalla, S. S., Winslow, V., Avidan, M. S., Haroutounian, S., & Kannampallil, T. G. (2022). Effect of acute postsurgical pain tra- jectories on 30-day and 1-year pain. PLoS One, 17(6), e0269455. DOI: 10.1371/journal.pone.0269455
35. Gjeilo, K. H., Oksholm, T., Follestad, T., Wahba, A., & Rustøen, T. (2020). Trajectories of pain in patients undergoing lung cancer surgery: A longitudinal prospective study. Journal of Pain and Symptom Management, 59(4), 818-828.e1. DOI: 10.1016/j.jpainsymman.2019.11.004
36. Saito, T., Hamakawa, A., Takahashi, H., Muto, Y., Mouri, M., Nakashima, M., Maru, N., Utsumi, T., Matsui, H., Taniguchi, Y., Hino, H., Hayashi, E., & Murakawa, T. (2023). Symptom se- verity trajectories and distresses in patients undergoing video- assisted thoracoscopic lung resection from surgery to the first post-discharge clinic visit. PLoS One, 18(2), e0281998. DOI: 10.1371/journal.pone.0281998
37. Niraj, G., Kelkar, A., Kaushik, V., Tang, Y., Fleet, D., Tait, F., Mcmillan, T., & Rathinam, S. (2017). Audit of postoperative pain management after open thoracotomy and the incidence of chronic postthoracotomy pain in more than 500 patients at a tertiary center. Journal of Clinical Anesthesia, 36, 174-177. DOI: 10.1016/j.jclinane.2016.10.011
38. Pluijms, W. A., Steegers, M. A. H., Verhagen, A. F. T. M., Scheffer, G. J., & Wilder-Smith, O. H. G. (2006). Chronic post-thoracotomy pain: A retrospective study. Acta Anaesthesiologica Scandinavica, 50(7), 804-808. DOI: 10.1111/j.1399-6576.2006.01065.x
39. Dualé, C., Ouchchane, L., Schoeffler, P., & Dubray, C. (2014). Neuropathic aspects of persistent postsurgical pain: A French multicenter survey with a 6-month prospective follow-up. The Journal of Pain, 15(1), 24.e1-24.e20. DOI: 10.1016/j.jpain.2013.08.014
40. Homma, T., Doki, Y., Yamamoto, Y., Ojima, T., Shimada, Y., Kitamura, N., & Yoshimura, N. (2018). Risk factors of neuro- pathic pain after thoracic surgery. Journal of Thoracic Disease, 10(5), 2898–2907. DOI: 10.21037/jtd.2018.05.25
41. Maguire, M. F., Ravenscroft, A., Beggs, D., & Duffy, J. P. (2006). A questionnaire study investigating the prevalence of the neu- ropathic component of chronic pain after thoracic surgery. European Journal of Cardio-Thoracic Surgery: Official Journal of the European Association for Cardio-Thoracic Surgery, 29(5), 800-805. DOI: 10.1016/j.ejcts.2006.02.002
42. Shanthanna, H., Aboutouk, D., Poon, E., Cheng, J., Finley, C., Paul, J., & Thabane, L. (2016). A retrospective study of open thora- cotomies versus thoracoscopic surgeries for persistent post- thoracotomy pain. Journal of Clinical Anesthesia, 35, 215-220. DOI: 10.1016/j.jclinane.2016.07.029
43. Maguire, M. F., Latter, J. A., Mahajan, R., Beggs, F. D., & Duffy, J. P. (2006). A study exploring the role of intercostal nerve dam- age in chronic pain after thoracic surgery. European Journal of Cardio-Thoracic Surgery Official Journal of the European Association for Cardio-Thoracic Surgery, 29(6), 873-879. DOI: 10.1016/j.ejcts.2006.03.031
44. Searle, R. D., Simpson, M. P., Simpson, K. H., Milton, R., & Bennett, M. I. (2009). Can chronic neuropathic pain following tho- racic surgery be predicted during the postoperative period? Interactive Cardiovascular and Thoracic Surgery, 9(6), 999- 1002. DOI: 10.1510/icvts.2009.216887
45. Takenaka, S., Saeki, A., Sukenaga, N., Ueki, R., Kariya, N., Tatara, T., & Hirose, M. (2020). Acute and chronic neuropathic pain pro- files after video-assisted thoracic surgery: A prospective study. Medicine, 99(13), e19629. DOI. 10.1097/MD.00000 00000019629
46. Giusti, E. M., Lacerenza, M., ManzoniG. M.Castelnuovo, G. (2020). Psychological and psychosocial predictors of chronic postsur- gical pain: a systematic review and meta-analysis. Pain, 162(1), 10-30. DOI: 10.1097/j.pain.0000000000001999
47. Hetmann, F., Kongsgaard, U. E., Sandvik, L., & Schou-Bredal, I. (2015). Prevalence and predictors of persistent post-surgical pain 12 months after thoracotomy. Acta Anaesthesiologica Scandinavica, 59(6), 740-748. DOI: 10.1111/aas.12532
48. Kampe, S., Geismann, B., Weinreich, G., Stamatis, G., Ebmeyer, U., & Gerbershagen, H. J. (2016). The influence of type of anes- thesia, perioperative pain and preoperative health status on chronic pain six months after thoracotomy—A prospective co- hort study. Pain Medicine, 18(11), pnw230-pn2213. DOI: 10.1093/pm/pnw230
49. Rosenberger, D. C., & Pogatzki-Zahn, E. M. (2022). Chronic post- surgical pain – update on incidence, risk factors and preventive treatment options. BJA Education, 22(5), 190-196. DOI: 10.1016/j.bjae.2021.11.008

Tablas y Figuras

Figura 1

Tabla I

Tabla II

Figura 2

Figura 3

Tabla III

Figura 4

Tabla IV

Artículos relacionados

Instrucciones para citar

Danielsen A, Andreasen J, Dinesen B, Hansen J, Petersen K, Duch K, et all. Trayectorias del dolor y síntomas de dolor neuropático tras la cirugía de cáncer de pulmón: estudio de cohorte prospectivo . Rev Soc Esp Dolor 2023; 30(4): 270-283 / DOI: 101002/ejp2265


Descargar a un gestores de citas

Descargue la cita de este artículo haciendo clic en uno de los siguientes gestores de citas:

Métrica

Este artículo ha sido visitado 16805 veces.
Este artículo ha sido descargado 30 veces.

Estadísticas de Dimensions


Estadísticas de Plum Analytics

Ficha Técnica

Aceptado: 20/09/2024

Publicado: 20/09/2024


Compartir

Este artículo aun no tiene valoraciones.
Valoración del lector:
Valora este artículo:
© 2025 Revista de la Sociedad Española del Dolor
ISSN: 1134-8046   e-ISSN: 2254-6189

      Indexada en: