Año 2025 / Volumen 32 / Número 1

Original

Validación de la escala CUDIT-R para detectar comportamientos peligrosos asociados al uso de cannabis en población latinoamericana
Validation of the CUDIT-R scale to detect cannabis misuse in latin american population

Rev. Soc. Esp. Dolor. 2025; 32(1): 3-11 / DOI: 10.20986/resed.2025.4097/2023

Ana Ruth Valencia, Nubia Fernanda Sánchez


RESUMEN

Introducción: El uso del fitocannabinoide tetrahidrocannabinol tiene un riesgo de desarrollar trastorno por consumo de cannabis (TCC), asociado a trastornos mentales, enfermedades cardiovasculares y respiratorias, y a un aumento del riesgo de complicaciones perioperatorias. El uso adecuado del cannabis medicinal requiere identificar a los pacientes en riesgo de desarrollar TCC.
Objetivo: Traducir al español y validar el Cannabis Use Disorder Identification Test - Revised (CUDIT-R) para detectar comportamientos peligrosos asociados al uso de cannabis en población latinoamericana mayor de 18 años.
Materiales y métodos: Estudio observacional analítico para validación de instrumento de medición. El CUDIT-R fue traducido y aplicado en latinoamericanos que consumieron cannabis en los últimos seis meses. Se evaluó colinealidad con test de Bartlett y prueba de Kaiser-Meyer-Olkin. En el análisis factorial exploratorio fueron relevantes los factores con autovalores mayores de 70; se usó rotación promax. La validez de criterio fue evaluada con coeficiente de correlación de Spearman. La consistencia interna se evaluó usando alfa de Cronbach y correlación de los dominios divididos en dos con la fórmula de Spearman-Brown.
Resultados: Con 465 respuestas completas, la sensibilidad del CUDIT-R fue del 60,77 %, con una especificidad del 85,06 %. La consistencia interna y validez de criterio fueron aceptables, y mejoraban al retirar las preguntas 1 y 8. Su desempeño no fue óptimo en la población evaluada.
Conclusiones: CUDIT-R puede ser útil para detectar riesgo de presentar TCC. Sus preguntas 1 y 8 afectan la unidimensionalidad del instrumento, pero proveen información útil para el manejo del paciente. Es necesario validar la escala en diferentes grupos poblacionales.



ABSTRACT

Introduction: The use of the phytocannabinoid tetrahydrocannabinol carries a risk of developing Cannabis Use Disorder (CUD), associated with mental disorders, cardiovascular and respiratory diseases, and an increased risk of perioperative complications. The proper use of medical cannabis requires identifying patients at risk of developing CUD.
Objective: Translate into Spanish and validate the Cannabis Use Disorder Identification Test - Revised (CUDIT-R) to detect cannabis misuse in Latin American population over 18 years of age.
Materials and methods: Analytical observational study for validation of a questionnaire. The CUDIT-R was translated and applied in Latin Americans, who used cannabis in the last six months. Collinearity was evaluated with the Bartlett Test and the Kaiser-Meyer-Olkin Test. In the exploratory factorial analysis, factors with eigenvalues greater than 70 were relevant, Promax rotation was used. Criterion validity was evaluated with Spearman's correlation coefficient. The internal consistency was evaluated using Cronbach's Alpha and correlation of the domains divided in two with the Spearman-Brown formula.
Results: With 465 complete responses, the sensitivity of the CUDIT-R was 60.77 %, with a specificity of 85.06 %. Internal consistency and criterion validity were acceptable, and improved when questions 1 and 8 were removed. Its performance was not optimal in the population evaluated.
Conclusions: CUDIT-R can be useful to detect risk of presenting CUD. The questions 1 and 8 affect the unidimensionality of the instrument, but they provide useful information for patient management. It is necessary to validate the scale in different population groups.





Artículo Completo

Nuevo comentario

Código de seguridad:
CAPTCHA code image
Speak the codeChange the code
 

Comentarios

No hay comentarios para este artículo.

Bibliografía

1. UNODC. Global overview : Drug demand. World Drug Report 2. Global Overview: Drug Demand, Drug Supply. 2022. 107 p.
2. UNDOC. Drug Market Trends : Cannabis. Vienna - Austria: World Drug Report 3 Drug Marked: cannabis and opiods; 2022. 102 p
3. Han B, Compton WM, Blanco C, Jones CM. Trends in and correlates of medical marijuana use among adults in the United States. Drug Alcohol Depend. 2018;186(June):120-9.
4. Pagano C, Navarra G, Coppola L, Avilia G, Bifulco M, Laezza C. Cannabinoids: Therapeutic use in clinical practice. Int J Mol Sci. 2022;23(6):1-20.
5. Kalant H, Porath-Waller AJ. Clearing the smoke on cannabis: Medical use of cannabis and cannabinoids. Canadian Centre on Substance Abuse. 2015.
6. Page RL, Allen LA, Kloner RA, Carriker CR, Martel C, Morris AA, et al. Medical marijuana, recreational cannabis, and cardiovascular health: A scientific statement from the American Heart Association. Circulation. 2020;142(10):E131-52.
7. Connor JP, Stjepanović D, Le Foll B, Hoch E, Budney AJ, Hall WD. Cannabis use and cannabis use disorder. Nat Rev Dis Prim. 2021;7(1):1-53.
8. Gendy MNS, Taisir R, Sousa S, Costello J, Rush B, Busse JW, et al. Prevalence of cannabis use disorder among individuals using medical cannabis at admission to inpatient treatment for substance use disorders. Addict Behav. 2023;142:107667.
9. Mills L, Lintzeris N, O’Malley M, Arnold JC, McGregor IS. Prevalence and correlates of cannabis use disorder among Australians using cannabis products to treat a medical condition. Drug Alcohol Rev. 2022;41(5):1095-108.
10. Shah S, Schwenk ES, Sondekoppam R V, Clarke H, Zakowski M, Rzasa-Lynn RS, et al. ASRA Pain Medicine consensus guidelines on the management of the perioperative patient on cannabis and cannabinoids. Reg Anesth Pain Med. 2023;48(3):97-117.
11. López-Pelayo H, Batalla A, Balcells MM, Colom J, Gual A. Assessment of cannabis use disorders: A systematic review of screening and diagnostic instruments. Psychol Med. 2015;45(6):1121-33.
12. Practices and Basic Standards for Preanesthesia Care Committee. Vol. 21, American society of Anesthesiologist. 2020.
13. Goel A, McGuinness B, Jivraj NK, Wijeysundera DN, Mittleman MA, Bateman BT, et al. Cannabis use disorder and perioperative outcomes in major elective surgeries: A retrospective cohort analysis. Anesthesiology. 2020;132(4):625-35.
14. Ladha KS, McLaren-Blades A, Goel A, Buys MJ, Farquhar-Smith P, Haroutounian S, et al. Perioperative pain and addiction interdisciplinary network (PAIN): Consensus recommendations for perioperative management of cannabis and cannabinoid-based medicine users by a modified Delphi process. Br J Anaesth. 2021;126(1):304-18.
15. Marshal S. The Cannabis Use Disorder Identification Test - Revised (CUDIT-R): Categorisation and interpretation. Vol. 53, Kemampuan Koneksi Matematis (Tinjauan Terhadap Pendekatan Pembelajaran Savi). 2019. Disponible en: https://core.ac.uk/download/pdf/33332537.pdf
16. Fallon MT, Albert Lux E, McQuade R, Rossetti S, Sanchez R, Sun W, et al. Sativex oromucosal spray as adjunctive therapy in advanced cancer patients with chronic pain unalleviated by optimized opioid therapy: Two double-blind, randomized, placebo-controlled phase 3 studies. Br J Pain. 2017;11(3):119-33.
17. Loflin M, Babson K, Browne K, Bonn-Miller M. Assessment of the validity of the CUDIT-R in a subpopulation of cannabis users. Am J Drug Alcohol Abuse. 2018;44(1):19-23.
18. Adamson SJ, Kay-Lambkin FJ, Baker AL, Lewin TJ, Thornton L, Kelly BJ, et al. An improved brief measure of cannabis misuse: The Cannabis Use Disorders Identification Test-Revised (CUDIT-R). Drug Alcohol Depend. 2010;110(1-2):137-43.
19. Mezquita L, Bravo AJ, Pilatti A, Ortet G, Ibáñez MI. Quantifying cannabis problems among college students from English and Spanish speaking countries: Cross-cultural validation of the Cannabis Use Disorders Identification Test-Revised (CUDIT-R). Addict Behav. 2022;127:107209. Disponible en: https://www.sciencedirect.com/science/article/pii/S0306460321003944
20. Adamson SJ, Sellman JD. A prototype screening instrument for cannabis use disorder: The Cannabis Use Disorders Identification Test (CUDIT) in an alcohol-dependent clinical sample. Drug Alcohol Rev. 2003;22(3):309-15.
21. Asociación Americana de Psiquiatría. Guía de consulta de los criterios diagnósticos del DSM-V. Arlington: Asociación Americana de Psiquiatría; 2014. 267-269 p. Disponible en: https://www.eafit.edu.co/ninos/reddelaspreguntas/Documents/dsm-v-guia-consulta-manual-diagnostico-estadistico-trastornos-mentales.pdf
22. Gómez Restrepo C, Sánchez Pedraza R. Cálculo del tamaño de la muestra en psiquiatría y salud mental (principios básicos para su estimación). Rev Colomb Psiquiatr. 1998;131-42
23. Cameletti M, Caviezel V. Package ‘CMC’: Cronbach-Mesbah Curve. CRAN; 2012. Disponible en: https://cran.r-project.org/web/packages/CMC/CMC.pdf
24. Schultz NR, Bassett DT, Messina BG, Correia CJ. Evaluation of the psychometric properties of the cannabis use disorders identification test - revised among college students. Addict Behav. 2019;95:11-5.
25. Ramo DE, Liu H, Prochaska JJ. Reliability and validity of young adults’ anonymous online reports of marijuana use and thoughts about use. Psychol Addict Behav. 2012;26(4):801-11.
26. Hasin DS, O’Brien CP, Auriacombe M, Borges G, Bucholz K, Budney A, et al. DSM-5 criteria for substance use disorders: Recommendations and rationale. Am J Psychiatry. 2013;170(8):834-51.

Tablas y Figuras

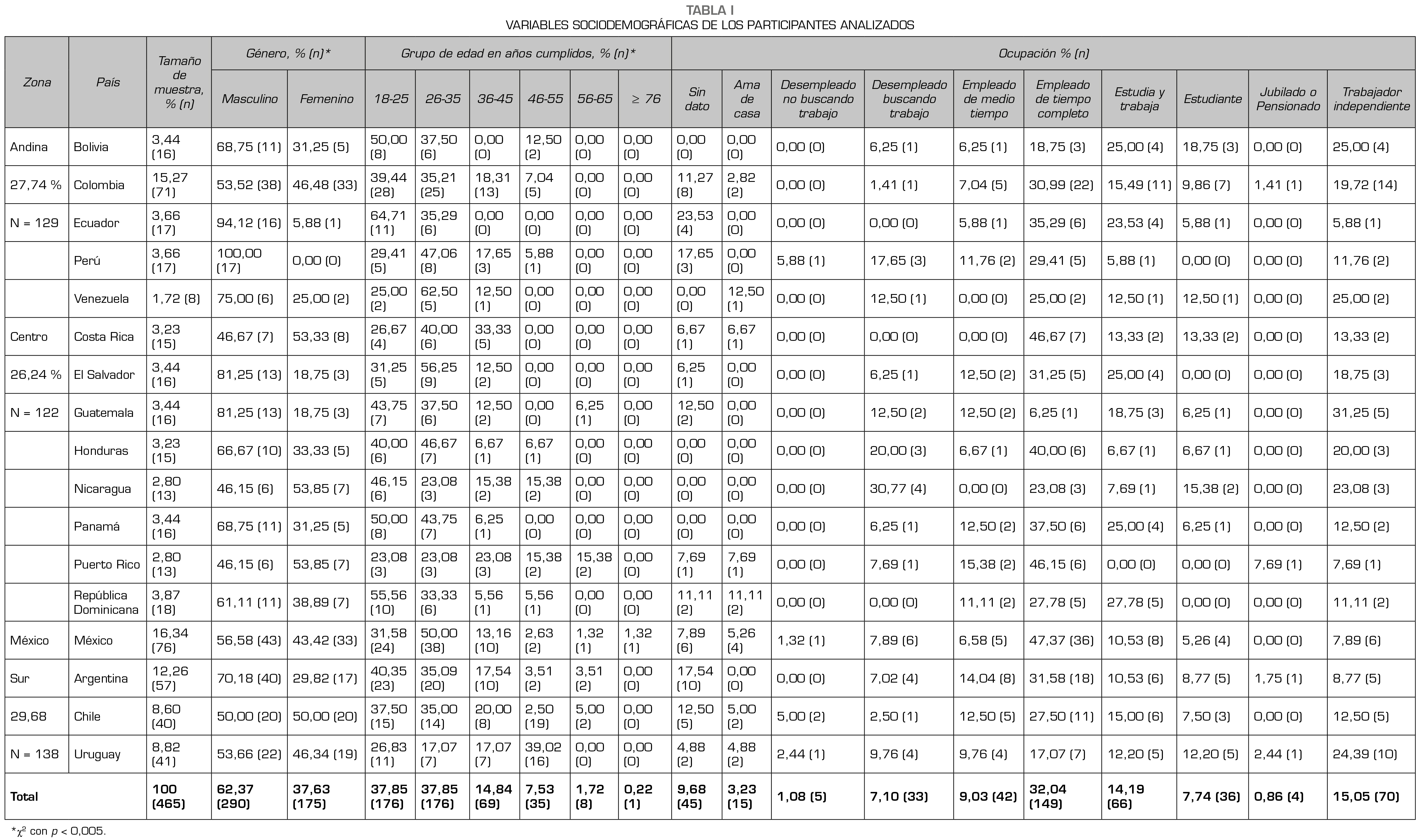
Tabla I

Tabla II

Tabla III

Figura 1

Figura 2

Tabla IV

Artículos relacionados

Actitud y conocimiento actual del especialista español en tratamiento del dolor respecto al cannabis medicinal

Rev. Soc. Esp. Dolor. 2022; 29(13): 52-57 / DOI: 10.20986/resed.2022.4032/2022

Aspectos prácticos de la elección del producto y la titulación con cannabis medicinal para el dolor crónico

Rev. Soc. Esp. Dolor. 2022; 29(13): 43-51 / DOI: 10.20986/resed.2022.4031/2022

Cannabis medicinal en el tratamiento del dolor crónico visceral

Rev. Soc. Esp. Dolor. 2022; 29(13): 32-42 / DOI: 10.20986/resed.2022.4030/2022

¿Es útil el cannabis medicinal para el tratamiento de la fibromialgia?

Rev. Soc. Esp. Dolor. 2022; 29(13): 27-31 / DOI: 10.20986/resed.2022.4029/2022

Cannabinoides en dolor neuropático: luces y sombras

Rev. Soc. Esp. Dolor. 2022; 29(13): 20-26 / DOI: 10.20986/resed.2022.4027/2022

Cannabis medicinal y cáncer: beneficios en dolor oncológico y otros síntomas relacionados

Rev. Soc. Esp. Dolor. 2022; 29(13): 14-19 / DOI: 10.20986/resed.2022.4026/2022

Evidencia científica actualizada del tratamiento con cannabis medicinal en pacientes con dolor crónico

Rev. Soc. Esp. Dolor. 2022; 29(13): 10-13 / DOI: 10.20986/resed.2022.4024/2022

Resultados preclínicos de cannabinoides y dolor (algunos)

Rev. Soc. Esp. Dolor. 2022; 29(13): 3-9 / DOI: 10.20986/resed.2022.4033/2022

Luces y sombras del tratamiento del dolor con cannabis medicinal

Rev. Soc. Esp. Dolor. 2022; 29(13): 1-2 / DOI: 10.20986/resed.2022.4036/2022

Cannabis en el tratamiento del dolor: consideraciones clínicas y de investigación

Rev Soc Esp Dolor 2017; 24(1): 47-56 / DOI: 10/20986/resed.2016.3472/2016

Instrucciones para citar

Valencia A, Sánchez N. Validación de la escala CUDIT-R para detectar comportamientos peligrosos asociados al uso de cannabis en población latinoamericana . Rev Soc Esp Dolor 2025; 32(1): 3-11 / DOI: 1020986/resed20254097/2023


Descargar a un gestores de citas

Descargue la cita de este artículo haciendo clic en uno de los siguientes gestores de citas:

Métrica

Este artículo ha sido visitado 1337 veces.
Este artículo ha sido descargado 14 veces.

Estadísticas de Dimensions


Estadísticas de Plum Analytics

Ficha Técnica

Recibido: 24/08/2023

Aceptado: 29/07/2025

Prepublicado: 26/08/2025

Publicado: 24/02/2026

Tiempo de revisión del artículo: 688 días

Tiempo de prepublicación: 733 días

Tiempo de edición del artículo: 915 días


Compartir

Este artículo aun no tiene valoraciones.
Valoración del lector:
Valora este artículo:
© 2026 Revista de la Sociedad Española del Dolor
ISSN: 1134-8046   e-ISSN: 2254-6189

      Indexada en: