10.20986/resed.2025.4097/2023
ORIGINAL

Validación de la escala CUDIT-R para detectar comportamientos peligrosos asociados al uso de cannabis en población latinoamericana

Validation of the CUDIT-R scale to detect cannabis misuse in latin american population

Ana Ruth Valencia Cárdenas1
Nubia Fernanda Sánchez Bello2

1Servicio de Anestesia y Dolor. Hospital Militar Central. Bogotá, Colombia
2Área de investigaciones y publicaciones científicas, Sociedad Colombiana de Anestesiología y Reanimación (SCARE). Bogotá, Colombia

RESUMEN

Introducción: El uso del fitocannabinoide tetrahidrocannabinol tiene un riesgo de desarrollar trastorno por consumo de cannabis (TCC), asociado a trastornos mentales, enfermedades cardiovasculares y respiratorias, y a un aumento del riesgo de complicaciones perioperatorias. El uso adecuado del cannabis medicinal requiere identificar a los pacientes en riesgo de desarrollar TCC.
Objetivo: Traducir al español y validar el Cannabis Use Disorder Identification Test - Revised (CUDIT-R) para detectar comportamientos peligrosos asociados al uso de cannabis en población latinoamericana mayor de 18 años.
Materiales y métodos: Estudio observacional analítico para validación de instrumento de medición. El CUDIT-R fue traducido y aplicado en latinoamericanos que consumieron cannabis en los últimos seis meses. Se evaluó colinealidad con test de Bartlett y prueba de Kaiser-Meyer-Olkin. En el análisis factorial exploratorio fueron relevantes los factores con autovalores mayores de 70; se usó rotación promax. La validez de criterio fue evaluada con coeficiente de correlación de Spearman. La consistencia interna se evaluó usando alfa de Cronbach y correlación de los dominios divididos en dos con la fórmula de Spearman-Brown.
Resultados: Con 465 respuestas completas, la sensibilidad del CUDIT-R fue del 60,77 %, con una especificidad del 85,06 %. La consistencia interna y validez de criterio fueron aceptables, y mejoraban al retirar las preguntas 1 y 8. Su desempeño no fue óptimo en la población evaluada.
Conclusiones: CUDIT-R puede ser útil para detectar riesgo de presentar TCC. Sus preguntas 1 y 8 afectan la unidimensionalidad del instrumento, pero proveen información útil para el manejo del paciente. Es necesario validar la escala en diferentes grupos poblacionales.

Palabras clave: Cannabis, conducta adictiva, abuso de marihuana, detección de abuso de sustancias, CUDIT

ABSTRACT

Introduction: The use of the phytocannabinoid tetrahydrocannabinol carries a risk of developing Cannabis Use Disorder (CUD), associated with mental disorders, cardiovascular and respiratory diseases, and an increased risk of perioperative complications. The proper use of medical cannabis requires identifying patients at risk of developing CUD.
Objective: Translate into Spanish and validate the Cannabis Use Disorder Identification Test - Revised (CUDIT-R) to detect cannabis misuse in Latin American population over 18 years of age.
Materials and methods: Analytical observational study for validation of a questionnaire. The CUDIT-R was translated and applied in Latin Americans, who used cannabis in the last six months. Collinearity was evaluated with the Bartlett Test and the Kaiser-Meyer-Olkin Test. In the exploratory factorial analysis, factors with eigenvalues greater than 70 were relevant, Promax rotation was used. Criterion validity was evaluated with Spearman’s correlation coefficient. The internal consistency was evaluated using Cronbach’s Alpha and correlation of the domains divided in two with the Spearman-Brown formula.
Results: With 465 complete responses, the sensitivity of the CUDIT-R was 60.77 %, with a specificity of 85.06 %. Internal consistency and criterion validity were acceptable, and improved when questions 1 and 8 were removed. Its performance was not optimal in the population evaluated.
Conclusions: CUDIT-R can be useful to detect risk of presenting CUD. The questions 1 and 8 affect the unidimensionality of the instrument, but they provide useful information for patient management. It is necessary to validate the scale in different population groups.

Key words: Cannabis, behavior addictive, marijuana abuse, substance abuse detection, CUDIT

Correspondencia
Nubia Fernanda Sánchez Bellon
sanchez@scare.org.co

Recibido: 24-08-2023
Aceptado: 29-07-2025

INTRODUCCIÓN

Existe un alto consumo de marihuana, cannabis medicinal (CM) y cannabinoides (CNB), tanto de uso medicinal como recreativo a nivel global, lo que va en paralelo con una tendencia mundial a la legalización; 70 países han regulado su uso médico, y de estos, 10 también el uso recreativo y 6 permiten el consumo de alto tetrahidrocannabinol (THC) (1).
Para el 2022 la marihuana fue la droga más consumida en el mundo, con una prevalencia de consumo del 4 % en personas entre los 15 y 65 años (2); y un aumento en el número de pacientes usuarios de CM y CNB de uso médico, con una prevalencia de consumo estimada en Estados Unidos y Canadá del 1,5 % (3), que va en aumento debido a la mayor evidencia clínica en patologías de alto impacto como el dolor crónico oncológico y no oncológico, los síntomas refractarios en cuidados paliativos, la espasticidad por esclerosis múltiple y epilepsias de difícil manejo(4).
La planta de cannabis tiene más de 100 fitocannabinoides, el THC y el cannabidiol son los CNB predominantes en las plantas y en los cuales se centran la mayoría de estudios clínicos y de los cuales están compuestos todos los CNB farmacéuticos que están en el mercado actualmente (Epidolex®, Sativex®, Dronabinol y Nabilona) (4,5). El THC es el único CNB intoxicante de la planta, con respuestas dosis dependientes y responsables de los efectos cardiovasculares, de psicosis y de adicción (6); si bien su consumo está relacionado con el uso recreativo o adulto, su farmacodinámica le otorga efectos importantes en el tratamiento de síntomas en tercera o cuarta línea de tratamiento en patologías de alta prevalencia como dolor crónico, síntomas refractarios en cuidados paliativos (dolor, náuseas y vómitos) y espasticidad por esclerosis múltiple, entre otras (4).
El consumo de THC no está libre de riesgo y uno de estos es el de desarrollar el trastorno por consumo de cannabis (TCC), que se estima se encuentra alrededor del 9 % en uso recreativo, pero este riesgo aumenta al 30-40 % entre aquellos con antecedentes de consumo diario de cannabis (7). El riesgo de TCC en uso médico aún no está claramente establecido; sin embargo, Gendy y cols., en un estudio prospectivo que exploró la prevalencia del TCC y otras comorbilidades psiquiátricas en pacientes hospitalizados en tratamiento por trastorno por consumo de sustancias que informaron haber consumido CM al ingreso, encontraron que el 28,3 % de los que informaron uso médico exclusivo de cannabis y el 51,4 % de aquellos con uso médico y recreativo tenían TCC (8); en el año 2022, Mills y cols. publican los resultados de una encuesta transversal anónima en línea de 2018 a 2019 en Australia, donde pacientes en tratamiento con CM fueron interrogados para diagnosticar TCC describiendo que la prevalencia de TCC en consumidores de CM parece comparable a la de los consumidores recreativos (9). Megan en el año 2022 publica los resultados de un estudio de cohorte observacional donde los participantes después de 12 meses de usar CM con THC, el 11,7 % de todos los participantes y el 17,1 % de los que usaban cannabis a diario o casi a diario desarrollaron TCC (9). El TCC está asociado a deterioro cognitivo, trastornos mentales (psicosis, depresión, ansiedad y comportamiento suicida) y efectos adversos para la salud física, como enfermedades cardiovasculares (6), enfermedad pulmonar obstructiva crónica, y a un aumento del riesgo perioperatorio de eventos cardiovasculares mayores, hiperalgesia, abstinencia y náuseas y vómitos (10). El tamizaje y la detección temprana de los pacientes en riesgo de desarrollar o con TCC establecido impactan a largo plazo la salud del paciente, permite al médico tratante hacer seguimiento en los pacientes usuarios de CM y le permite al anestesiólogo tomar medidas encaminadas a disminuir complicaciones durante el perioperatorio.
No hay consenso sobre si el consumo de cannabis debe ser examinado de forma rutinaria en la población general; sin embargo, dentro del interrogatorio en la consulta médica se debería incluir el consumo de cannabis dada la alta prevalencia (11). Asimismo, la prescripción de CM o CNB con dosis de THC requiere por principio de precaución un seguimiento de las conductas de riesgo en el consumo, y la Sociedad Estadounidense de Anestesiólogos (ASA) establece que el anestesiólogo en la valoración preanestésica es responsable de determinar el estado médico del paciente y desarrollar un plan de atención anestésica, que incluye el historial médico, experiencias anestésicas previas y el uso de sustancias médicamente relevantes, incluidos los CNB, independientemente de si son medicinales, de uso recreativo o de obtención ilícita (12). En el año 2023, la Asociación Americana de Anestesia Regional (ASRA) publica la guía que sugiere aplicar el Cannabis Use Disorder Test para la detección de TCC en el perioperatorio al paciente que durante la valoración informa sobre el uso reciente de cannabis, debido a los cambios fisiológicos intraoperatorios, las interacciones con los anestésicos, el riesgo de complicaciones mayores y los eventos adversos perioperatorios (13,14).
El gold estándar para el diagnóstico son los criterios del DSM-V, que se identifican mediante una entrevista clínica estructurada. El uso rutinario de esta estrategia es limitada por el tiempo que toma y el entrenamiento necesario para llevar a cabo la entrevista y realizar una adecuada interpretación de las respuestas del paciente (11). La Cannabis Use Disorder Identification Test - Revised (CUDIT-R) es una escala corta que contiene ítems diseñados para el diagnóstico de dependencia al cannabis contemplado dentro del DSM-IV y validados con el DSM-V; esta escala permite evidenciar tempranamente comportamientos peligrosos o perjudiciales asociados al uso de cannabis e identificar un posible TCC durante los seis meses previos a la aplicación del instrumento (15). Es usada ampliamente en los sistemas de salud, en estudios clínicos relacionados con el uso médico del cannabis y está incluida dentro de las recomendaciones de la ASRA en la valoración preoperatoria (10,16); consta de ocho ítems que incluyen patrones de uso de cannabis, problemas de abuso del cannabis, síntomas de dependencia y características sociales (17), es fácil de realizar, puede ser autodiligenciada y no requiere de personal de salud. Cada pregunta se categoriza de 0 a 4 con una puntuación máxima de 32. Las puntuaciones de 8 o más indican un consumo peligroso de cannabis; las puntuaciones de 12 o más indican un posible TCC, para el que puede ser necesario una intervención adicional (18). Ha sido validada y traducida a varios idiomas y existe un proceso de validación de una versión en español que se aplicó a estudiantes universitarios (19).
La versión original del CUDIT fue desarrollada por Adamson y Sellman en el año 2003 (20), constaba de 10 criterios de medición, que se desarrollaron a partir del AUDIT (Alcohol Use Disorder Identification Test); años después, Adamson y cols. desarrollan el CUDIT revisado (CUDIT-R) que fue validado en 144 pacientes que formaban parte de un estudio sobre depresión y abuso de sustancias, encontrando una sensibilidad del 91 % y una especificidad del 90 %, concluyendo que esta escala es superior a la original para detección de problemas en el consumo de cannabis (18).
El objetivo de este estudio fue traducir y validar el CUDIT-R al español, para permitir su aplicación en pacientes que hablan español y se encuentran en riesgo de desarrollar un TCC.

METODOLOGÍA

El instrumento de medición fue validado partiendo desde una traducción y adaptación, y evaluando su validez de constructo, validez de criterio y consistencia interna.

Participantes

Se hizo un muestreo a conveniencia de personas residentes en América Latina, mayores de 18 años que hubieran consumido cannabis en los últimos 6 meses; estas personas fueron contactadas a través de la agencia de publicidad McCan (http://www.mccann.com.co), quienes, a través de llamadas telefónicas realizadas a números de sus bases de datos de regiones de América Latina, buscaron obtener respuesta de diferentes perfiles culturales, educativos, sociales y económicos. Se excluyeron participantes que no respondieran a la totalidad de las preguntas y no se ofreció ningún tipo de incentivo.

Recolección de la información

De manera telefónica, cada participante dio respuesta a las preguntas del CUDIT-R traducido y adaptado, y como estándar de comparación se realizaron preguntas basadas en los criterios diagnósticos del DSM-V, para validar un posible TCC. Con un CUDIT-R con una puntuación de 8 a 11 se considera que el participante tiene un consumo riesgoso de cannabis; una puntuación mayor a 12 se consideró sugestiva de un TCC. Respecto al DSM-V, se considera que el participante cursa con un trastorno leve si tiene 2-3 síntomas, moderado con 4-5 síntomas, y grave con la presencia de 6 o más síntomas (21).

Análisis estadístico

Se describieron las variables sociodemográficas en forma de proporciones, desagregadas por país y zona, y se evaluaron las diferencias entre países usando con un nivel de significación del 95 %.
Con las respuestas, se evaluó colinealidad a través del test de Bartlett y la prueba de Kaiser-Meyer-Olkin para determinar si era posible realizar un análisis factorial; este se llevó a cabo para analizar si las variables obtenidas con las preguntas del CUDIT-R guardaban relación entre sí y con algún constructo subyacente. En el análisis factorial exploratorio, se tomaron como relevantes los factores con autovalores mayores a 70, se rotaron los factores usando rotación promax para facilitar su interpretación. La validez de criterio fue evaluada con una correlación entre la versión traducida y adaptada del CUDIT-R y las preguntas de síntomas registrados en los criterios diagnósticos utilizados en el DSM-V; para esta correlación, se empleó el coeficiente de correlación de Spearman con un nivel de significación del 0,05. Finalmente, la consistencia interna se evaluó usando alfa de Cronbach y correlación de los dominios divididos en 2 con la fórmula de Spearman-Brown. Una consistencia interna aceptable se consideró como alfa mayor a 0,7.
El tamaño de muestra adecuado se definió como 400 participantes, atendiendo a la recomendación de no evaluar la consistencia interna con una muestra menor a este número (22). El análisis se realizó empleando los softwares STATA v13 y R 3.6.1, este último empleando el paquete CMC (23).

RESULTADOS

El instrumento fue traducido por un traductor certificado del inglés al español. Esta versión traducida del CUDIT-R fue evaluada por 4 especialistas médicos (3 psiquiatras, un toxicólogo), quienes definieron que el contenido y la traducción eran adecuados.
Se obtuvo respuesta de 792 participantes que habían empleado cannabis en los últimos 6 meses, se eliminaron cuestionarios incompletos y el análisis fue realizado teniendo en cuenta la respuesta de 465 participantes, un tamaño de muestra adecuado según se calculó para el proceso de validación.
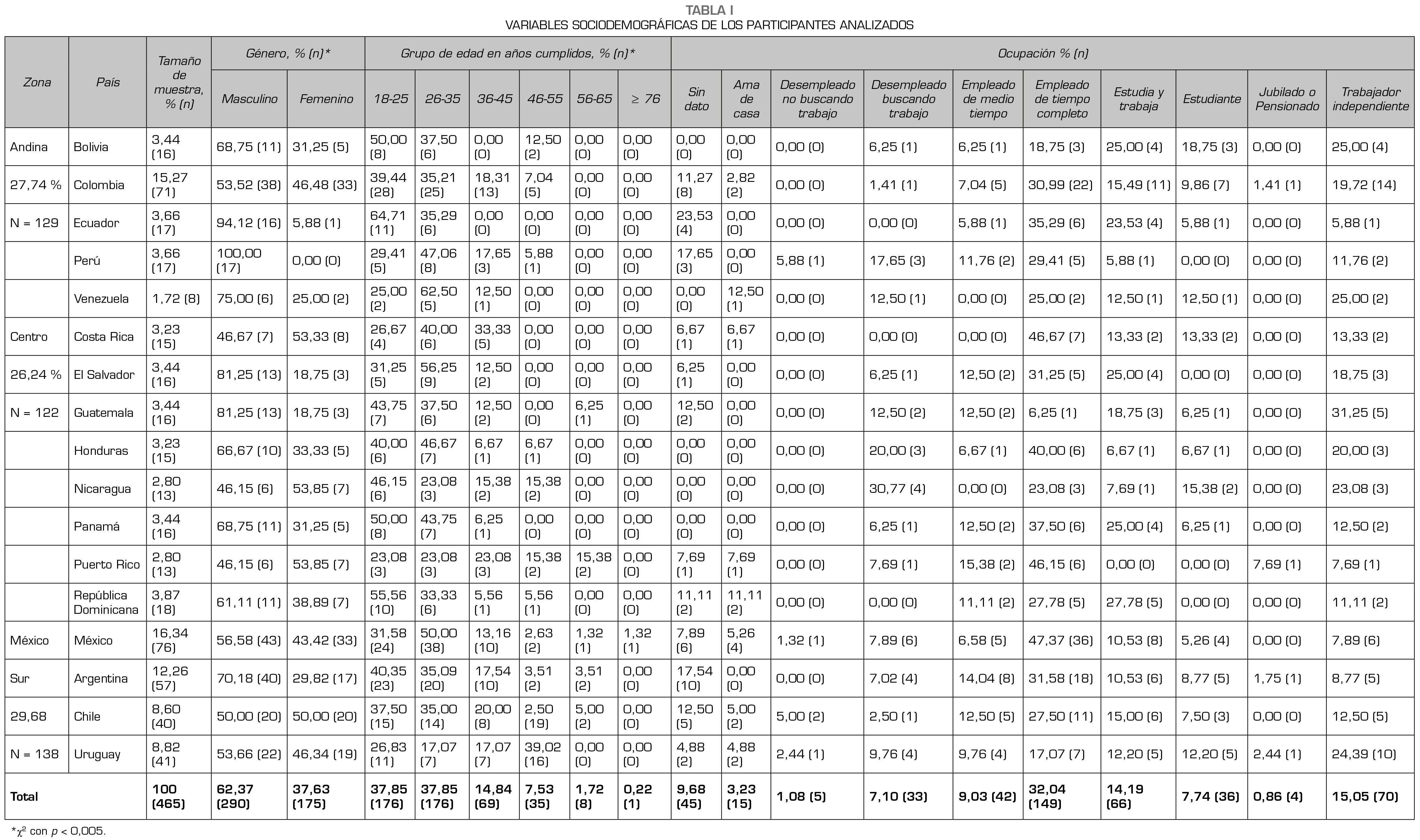
Este grupo tuvo una mediana de edad de 29 años (rango intercuartílico: 11 años), y un 37,6 % eran de género femenino. Los participantes reportaron su ocupación indicando que un 32 % eran empleados de tiempo completo, un 15 % eran trabajadores independientes, un 14,1 % eran estudiantes y trabajaban, un 9 % eran empleados de medio tiempo, un 8,18 % eran desempleados, un 7,7 % eran estudiantes, un 3,2 % eran amas de casa, y un 0,8 % eran pensionados o jubilados. La población contó con una distribución relativamente homogénea entre zonas, siendo predominantes los participantes de Colombia, México y Argentina; es importante aclarar que el número de participantes obtenido por país no es representativo de ninguno de los países contactados y que se aprecian diferencias significativas entre los respondientes de cada país en género y grupos de edad (Tabla 1).

Con el CUDIT-R se identificaron 121 participantes (26,02 %) con un consumo riesgoso de cannabis, y 91 (19,5 %) con un posible TCC; empleando los criterios diagnósticos del DSM-V se identifican 97 participantes (20,8 %) con un trastorno leve, 76 (16,3 %) con un trastorno moderado, y 138 (29,6 %) con un trastorno grave. La sensibilidad del CUDIT-R fue del 60,77 %, con una especificidad del 85,06 %, tomando como punto de corte 8 puntos en la escala.
Para dar inicio a la validación de la escala, se evalúa la prueba de Kaiser-Meyer-Olkin, encontrando un valor de 0,809, y un test de esfericidad de Barlett con p < 0,05; de esta forma, se prueba que las variables de la escala están correlacionadas y son adecuadas para realizar un análisis factorial exploratorio. Los resultados de dicho análisis se encuentran en la Tabla 2.

Con un análisis paralelo se encuentra que los autovalores obtenidos originalmente hasta el factor 3 son mejores que todos los autovalores generados aleatoriamente (Figura 1).

Se define dejar cargas factoriales mayores de 3, por tanto, se retienen 2 factores; estos 2 representan más del 98 % de la varianza.
El factor 1 contiene las preguntas que hacen referencia a deseos de consumir, tiempo para recuperarse, afectación en actividades diarias, alteración en la memoria, y participación en situaciones de riesgo; en el factor 2 se observan preguntas relacionadas con la frecuencia de consumo y la intención de detenerse. Se realiza rotación promax para ver si es posible dar otra interpretación a estas cargas factoriales; los resultados están en la Tabla 3.


Al rotar los factores, se observa que la pregunta 1 y la pregunta 8 tienen cargas factoriales que parecen más ligadas a un segundo dominio. Para complementar esta información, se realiza una curva de Cronbach-Mesbah, visible en la Figura 2, en la que se identifica que la unidimensionalidad de la prueba se ve alterada por las preguntas 1 y 8. Por esta razón se propone un dominio que contiene las preguntas 2, 3, 4, 5 y 6, y las preguntas 1 y 8 podrían considerarse parte de un segundo dominio.

La correlación de Spearman de la escala con el diagnóstico a través de los criterios de DSM-V fue de 0,6079 (p < 0,05). La confiabilidad de la escala dividida entre 2 aleatoriamente es de 0,5233 y al corregirse fue de 0,687. Al retirar las preguntas 1 y 8, la correlación de la escala mejoró a 0,6233.
El alfa de Cronbach para la escala completa fue de 0,7530, la cual se considera aceptable; este parámetro también presenta una mejoría al retirar la pregunta 8 (alfa de 0,7754) (Tabla 4).


DISCUSIÓN

Como se estableció con el análisis factorial, el CUDIT-R parece contener 2 dominios, un primer dominio que se relaciona con el consumo de cannabis y los efectos sugestivos de un consumo excesivo, y un segundo dominio en el que se establece directamente una frecuencia de consumo y la intención de detenerse. La pregunta final de la escala, la número 8, indaga sobre los pensamientos que ha tenido la persona sobre detener o reducir el consumo de cannabis, en cuyo caso la interpretación es más positiva mientras mayor sea el puntaje, opuesto a lo que ocurre con otros ítems de la escala, sin mencionar además que las opciones de respuesta para la pregunta 8 son 3 a diferencia de otros ítems de la escala que cuentan con 5 opciones de respuesta; esta situación podría explicar por qué conforma un dominio diferente al de las otras preguntas. Adicionalmente, la pregunta 1 que indaga acerca de la frecuencia de consumo, naturalmente guarda relación con las preguntas acerca de síntomas vinculados al consumo y comportamiento de riesgo, y guarda una relación opuesta con la pregunta 8 según se muestra en las cargas factoriales. La frecuencia de consumo y la intención de detenerse son 2 situaciones que se encuentran relacionadas y en contraposición: por lo general, una persona que mantiene un alto nivel de consumo se mostrará más reticente a detenerse. En la curva Cronbach-Mesbah se encontró que la pregunta 1 y la 8 alteran la unidimensionalidad de la escala; teniendo en cuenta los elementos anteriores, podrían considerarse entonces como ítems que buscan dar una visión adicional al panorama general, que posiblemente tienen una utilidad más pronóstica que diagnóstica.
La validez de criterio evaluada a través de la correlación de Spearman resulta apenas aceptable; aunque indica una correlación positiva y significativa con los criterios diagnósticos del DSM-V para TCC, en nuestro caso resulta evidente cómo a través de la comprobación de síntomas del DSM-V se encuentra una pro­porción de 30,5 % participantes con trastorno grave mientras que el CUDIT-R identifica únicamente a un 19,5 %. Con esta validez concurrente podemos considerar que la escala CUDIT-R en cierta medida sugiere un diagnóstico de TCC. Al momento de determinar la estrategia para evaluar la validez de criterio de la escala, se decidió emplear como comparación los criterios diagnósticos del DSM-V para TCC; esto fue debido a que en estudios similares se habían empleado estos criterios como gold estándar, obteniendo correlaciones de 0,79 (18,24).
Una observación pertinente se encuentra al revisar las validaciones que se han realizado previamente en otros estudios, en donde diferentes autores encuentran propiedades psicométricas variables en el CUDIT-R al aplicarlo en poblaciones distintas como veteranos o estudiantes universitarios (17,24,25). La primera validación se efectuó en participantes con síntomas depresivos y que además de cannabis reportaban consumir alcohol y/o anfetaminas (18), sin duda una población en riesgo en la cual no sería inusual identificar un TCC, afectando entonces el desempeño de la escala. Estas consideraciones refuerzan la importancia de realizar validaciones de esta escala en poblaciones diferentes.
Se debe tener en cuenta además que la población en la que se efectuó la primera validación de Adamson y cols. (18) fue una población diagnosticada clínicamente, con el apoyo de profesionales, mientras que la validación aquí realizada se efectuó a través de conversaciones telefónicas con preguntas establecidas en un guion, que bajo ninguna circunstancia reemplazan el criterio clínico. Este aspecto puede representar una limitante para el análisis realizado, ya que los criterios diagnósticos no son por definición una escala validada para establecer un diagnóstico; aunque el DSM-V enumera síntomas que al agruparse pueden definir un diagnóstico, se encuentra ausente un elemento esencial que es que el cuadro debe generar un deterioro o malestar clínicamente significativo, situación que debe evaluar un profesional calificado (26).
En cuanto a la consistencia interna, esta se consideró aceptable y presenta un valor similar al observado en la validación de Loflin y cols. (17), en la que se obtuvo un alfa de 0,73, pero resulta ser menor al de 0,91 encontrado en la validación original por Adamson y cols. (18). La similitud más evidente que se encuentra con el estudio de Loflin radica una vez más en la población a la cual se aplicó la prueba; en este estudio los participantes eran veteranos que tenían acceso a productos de CM de forma gratuita, en tanto los participantes de Adamson aparentemente empleaban cannabis con fines recreacionales; en nuestro análisis los participantes contactados empleaban cannabis tanto con fines medicinales como recreacionales.
Una última diferencia identificada en relación con la validación original de Adamsom y cols. (18), se encuentra en la sensibilidad y especificidad. En la validación original, la especificidad fue del 90 % y la sensibilidad del 91 %, en nuestro estudio ambos parámetros fueron menores, con 85,06 % y 60,77 % respectivamente, lo cual indica que posiblemente tenga una mayor utilidad descartando un diagnóstico que confirmándolo, y que su utilidad es limitada en nuestra población de estudio.

CONCLUSIONES

Se realizó la validación del cuestionario CUDIT-R en población latinoamericana. La consistencia interna de la prueba fue aceptable, su validez de criterio también fue aceptable, aunque inferior a la que se ha encontrado en otros estudios; se observó una mejoría en ambas al retirar las preguntas 1 y 8, que hacen referencia a la frecuencia de uso, y a la intención de reducir uso de cannabis.
La escala empleada para evaluar la pregunta 8, si bien es ordinal, tiene un sentido diferente al de otras respuestas en el resto de la prueba, mientras que, en cada pregunta, una categoría más alta puede considerarse como “consecuencias más graves”, en la pregunta 8, el avance en las categorías de la escala puede ser positivo ya que indica el interés de frenar el consumo de cannabis. Las diferencias observadas en la pregunta 1 podrían deberse a que la frecuencia de uso no se relaciona a la cantidad utilizada y a la severidad de los síntomas.
Debido a que el CUDIT-R fue desarrollado y validado inicialmente con pacientes que se encontraban siendo objeto de estudio de trastornos de comportamiento y abuso de sustancias, es de esperar entonces que sea más específico en este tipo de población, limitando su utilidad en personas que no tengan estos antecedentes.
Esta escala puede usarse para descartar un TCC en población latinoamericana y para la identificación de pacientes en riesgo o con sospecha de TCC, lo que es de utilidad en la valoración preanestésica y en el seguimiento de los pacientes usuarios de CM. Se debe tener en cuenta que, aunque las preguntas 1 y 8 no tengan un óptimo desempeño para el diagnóstico, proveen información de utilidad para el tratamiento de los pacientes. Es necesario realizar nuevos procesos de validación de la escala en diferentes grupos poblacionales y buscando encontrar las circunstancias en las que su desempeño es óptimo.

RECONOCIMIENTOS
Agradecimiento a la agencia de publicidad McCan por su contribución al contactar a los participantes y aplicar el instrumento

CONSIDERACIONES ÉTICAS
Este proyecto fue evaluado y aprobado por el Comité de Bioética de la Universidad de Caldas en enero de 2019, con el consecutivo CBCS-001; fue considerado como un proyecto de riesgo mínimo para los participantes de acuerdo con la Resolución 8430 de 1993 del Ministerio de Salud de Colombia. A cada participante se le explicó la naturaleza del estudio al momento de ser contactados y respondieron a las preguntas solo aquellos que estuvieron de acuerdo en hacerlo. No se reveló información personal de los participantes del estudio y en los análisis sus respuestas estaban anonimizadas

CONFLICTOS DE INTERESES
Ninguno que declarar

BIBLIOGRAFÍA

  1. UNODC. Global overview?: Drug demand. World Drug Report 2. Global Overview: Drug Demand, Drug Supply. 2022. p.107.
  2. UNDOC. Drug Market Trends?: Cannabis. Vienna - Austria: World Drug Report 3 Drug Marked: cannabis and opiods; 2022. p. 102.
  3. Han B, Compton WM, Blanco C, Jones CM. Trends in and correlates of medical marijuana use among adults in the United States. Drug Alcohol Depend. 2018;186(June):120-9. DOI: 10.1016/j.drugalcdep.2018.01.022.
  4. Pagano C, Navarra G, Coppola L, Avilia G, Bifulco M, Laezza C. Cannabinoids: Therapeutic use in clinical practice. Int J Mol Sci. 2022;23(6):1-20. DOI: 10.3390/ijms23063344.
  5. Kalant H, Porath-Waller AJ. Clearing the smoke on cannabis: Medical use of cannabis and cannabinoids. Canadian Centre on Substance Abuse. 2015. DOI: 10.1016/j.drugalcdep.2014.02.504.
  6. Page RL, Allen LA, Kloner RA, Carriker CR, Martel C, Morris AA, et al. Medical marijuana, recreational cannabis, and cardiovascular health: A scientific statement from the American Heart Association. Circulation. 2020;142(10):E131-52. DOI: 10.1161/CIR.0000000000000883.
  7. Connor JP, Stjepanovi? D, Le Foll B, Hoch E, Budney AJ, Hall WD. Cannabis use and cannabis use disorder. Nat Rev Dis Prim. 2021;7(1):1-53. DOI: 10.1038/s41572-021-00247-4.
  8. Gendy MNS, Taisir R, Sousa S, Costello J, Rush B, Busse JW, et al. Prevalence of cannabis use disorder among individuals using medical cannabis at admission to inpatient treatment for substance use disorders. Addict Behav. 2023;142:107667. DOI: 10.1016/j.addbeh.2023.107667.
  9. Mills L, Lintzeris N, O’Malley M, Arnold JC, McGregor IS. Prevalence and correlates of cannabis use disorder among Australians using cannabis products to treat a medical condition. Drug Alcohol Rev. 2022;41(5):1095-108. DOI: 10.1111/dar.13444.
  10. Shah S, Schwenk ES, Sondekoppam R V, Clarke H, Zakowski M, Rzasa-Lynn RS, et al. ASRA Pain Medicine consensus guidelines on the management of the perioperative patient on cannabis and cannabinoids. Reg Anesth Pain Med. 2023;48(3):97-117. DOI: 10.1136/rapm-2022-104013.
  11. López-Pelayo H, Batalla A, Balcells MM, Colom J, Gual A. Assessment of cannabis use disorders: A systematic review of screening and diagnostic instruments. Psychol Med. 2015;45(6):1121-33. DOI: 10.1017/S0033291714002463.
  12. Practices and Basic Standards for Preanesthesia Care Committee. Vol. 21, American society of Anesthesiologist. 2020.
  13. Goel A, McGuinness B, Jivraj NK, Wijeysundera DN, Mittleman MA, Bateman BT, et al. Cannabis use disorder and perioperative outcomes in major elective surgeries: A retrospective cohort analysis. Anesthesiology. 2020;132(4):625-35. DOI: 10.1097/ALN.0000000000003067.
  14. Ladha KS, McLaren-Blades A, Goel A, Buys MJ, Farquhar-Smith P, Haroutounian S, et al. Perioperative pain and addiction interdisciplinary network (PAIN): Consensus recommendations for perioperative management of cannabis and cannabinoid-based medicine users by a modified Delphi process. Br J Anaesth. 2021;126(1):304-18. DOI: 10.1016/j.bja.2020.09.026.
  15. Marshal S. The Cannabis Use Disorder Identification Test - Revised (CUDIT-R): Categorisation and interpretation. Vol. 53, Kemampuan Koneksi Matematis (Tinjauan Terhadap Pendekatan Pembelajaran Savi). 2019. Disponible en: https://core.ac.uk/download/pdf/33332537.pdf.
  16. Fallon MT, Albert Lux E, McQuade R, Rossetti S, Sanchez R, Sun W, et al. Sativex oromucosal spray as adjunctive therapy in advanced cancer patients with chronic pain unalleviated by optimized opioid therapy: Two double-blind, randomized, placebo-controlled phase 3 studies. Br J Pain. 2017;11(3):119-33. DOI: 10.1177/2049463717710042.
  17. Loflin M, Babson K, Browne K, Bonn-Miller M. Assessment of the validity of the CUDIT-R in a subpopulation of cannabis users. Am J Drug Alcohol Abuse. 2018;44(1):19-23. DOI: 10.1080/00952990.2017.1376677.
  18. Adamson SJ, Kay-Lambkin FJ, Baker AL, Lewin TJ, Thornton L, Kelly BJ, et al. An improved brief measure of cannabis misuse: The Cannabis Use Disorders Identification Test-Revised (CUDIT-R). Drug Alcohol Depend. 2010;110(1-2):137-43. DOI: 10.1016/j.drugalcdep.2010.02.017.
  19. Mezquita L, Bravo AJ, Pilatti A, Ortet G, Ibáñez MI. Quantifying cannabis problems among college students from English and Spanish speaking countries: Cross-cultural validation of the Cannabis Use Disorders Identification Test-Revised (CUDIT-R). Addict Behav. 2022;127:107209. Disponible en: https://www.sciencedirect.com/science/article/pii/S0306460321003944 DOI: 10.1016/j.addbeh.2021.107209.
  20. Adamson SJ, Sellman JD. A prototype screening instrument for cannabis use disorder: The Cannabis Use Disorders Identification Test (CUDIT) in an alcohol-dependent clinical sample. Drug Alcohol Rev. 2003;22(3):309-15. DOI: 10.1080/0959523031000154454.
  21. Asociación Americana de Psiquiatría. Guía de consulta de los criterios diagnósticos del DSM-V. Arlington: Asociación Americana de Psiquiatría; 2014. 267-269 p. Disponible en: https://www.eafit.edu.co/ninos/reddelaspreguntas/Documents/dsm-v-guia-consulta-manual-diagnostico-estadistico-trastornos-mentales.pdf.
  22. Gómez Restrepo C, Sánchez Pedraza R. Cálculo del tamaño de la muestra en psiquiatría y salud mental (principios básicos para su estimación). Rev Colomb Psiquiatr. 1998;131-42.
  23. Cameletti M, Caviezel V. Package ‘CMC’: Cronbach-Mesbah Curve. CRAN; 2012. Disponible en: https://cran.r-project.org/web/packages/CMC/CMC.pdf.
  24. Schultz NR, Bassett DT, Messina BG, Correia CJ. Evaluation of the psychometric properties of the cannabis use disorders identification test - revised among college students. Addict Behav. 2019;95:11-5. DOI: 10.1016/j.addbeh.2019.02.016.
  25. Ramo DE, Liu H, Prochaska JJ. Reliability and validity of young adults’ anonymous online reports of marijuana use and thoughts about use. Psychol Addict Behav. 2012;26(4):801-11. DOI: 10.1037/a0026201.
  26. Hasin DS, O’Brien CP, Auriacombe M, Borges G, Bucholz K, Budney A, et al. DSM-5 criteria for substance use disorders: Recommendations and rationale. Am J Psychiatry. 2013;170(8):834-51. DOI: 10.1176/appi.ajp.2013.12060782.