doi.org/10.1002/ejp.2108
ARTÍCULO DE LA REVISTA EJP
LA REALIDAD VIRTUAL ELEVA EL UMBRAL DE DOLOR POR PRESIÓN Y REDUCE LA ANSIEDAD EN NIÑOS COMPARADA CON CONTROLES Y CONTROLES NO INMERSIVOS. UN ESTUDIO ALEATORIZADO Y CRUZADO
VIRTUAL REALITY INCREASES PRESSURE PAIN THRESHOLD AND LOWERS ANXIETY IN CHILDREN COMPARED WITH CONTROL AND NON-IMMERSIVE CONTROL—A RANDOMIZED, CROSSOVER TRIAL
L. Kjeldgaard Pedersen1,2
L. Y. V. Fisker2
J. D. Rölfing1,2,3
P. Ahlburg4
M. Veien4
L. Vase5
B. Møller-Madsen1,2
1Área de Cirugía Ortopédica Infantil. Aarhus University Hospital. Aarhus, Dinamarca
2Investigación Ortopédica Pediátrica de Dinamarca. Área de Cirugía Ortopédica. Aarhus University Hospital. Aarhus, Dinamarca
3Corporate HR, MidtSim, Central Denmark Region. Aarhus, Dinamarca
4Área de Anestesiología Infantil. Aarhus University Hospital. Aarhus, Dinamarca
5Área de Psicología y Ciencias del Comportamiento. Área de Psicología y Neurociencia. Aarhus University. Aarhus, Dinamarca
RESUMEN
Antecedentes: La realidad virtual (RV) es una intervención del dolor no farmacológica y prometedora porque es capaz no solo de distraer el dolor sino también de modularlo sumergiendo al usuario en una realidad paralela tridimensional de 360°. Se ha informado que, en niños, la RV reduce el dolor clínico y la ansiedad durante las intervenciones médicas. No obstante, se siguen investigando los efectos de la RV inmersiva sobre el dolor y la ansiedad mediante ensayos controlados aleatorios (ECA). El objetivo del presente ECA cruzado es la evaluación de los efectos de la RV sobre el umbral de dolor por presión (UDP) y el nivel de ansiedad medidos con la modified Yale Preoperative Anxiety Scale (mYPAS) en niños en un entorno experimental controlado.
Metodología: Un total de setenta y dos niños (edad promedio de 10,2 (6 a 14) años) fueron asignados aleatoriamente a 24 secuencias de cuatro intervenciones (juego de RV inmersiva, vídeo de RV inmersiva, tableta electrónica: vídeo en 2D y controles: pequeña charla). Antes y después de cada intervención se evaluaron las medidas de resultados siguientes: UDP, mYPAS y frecuencia cardiaca.
Resultados: Se observó un aumento significativo en el UDP durante el juego de RV (PPTdiff): 136kPa (CI 112; 161), p < 0,0001 y vídeo de RV (PPTdiff): 122kPa (CI 91; 153), p < 0,0001. Además, los niveles de ansiedad disminuyeron de forma significativa durante el juego de RV (mYPASdiff: −7 puntos (−8 a −5), p < 0,0001) y el vídeo de RV (mYPASdiff: −6 puntos (CI −7; −4), p < 0,0001).
Conclusiones: La RV demostró tener unos efectos notablemente beneficiosos sobre el UDP y la ansiedad comparada con las intervenciones de control: vídeo en 2D y pequeña charla. Así, la RV inmersiva tuvo un efecto modulatorio distintivo sobre el dolor y la ansiedad en un entorno experimental adecuadamente controlado. La RV inmersiva ha demostrado ser eficaz y viable en niños y puede comportarse como una herramienta válida para el manejo del dolor no farmacológico y de la ansiedad.
Alcance: La RV inmersiva pediátrica parece ser beneficiosa, aunque está pendiente la realización de estudios adecuadamente controlados. Hemos investigado si la RV inmersiva puede modular el umbral de dolor y el nivel de ansiedad en niños en un entorno experimental adecuadamente controlado. Documentamos un aumento modulador en el umbral de dolor y un descenso modulador del nivel de ansiedad comparados con condiciones de control exhaustivas. La RV inmersiva pediátrica es eficaz, viable y válida para el manejo del dolor no farmacológico y de la ansiedad. Todos los esfuerzos pretenden alcanzar el objetivo de que ningún niño experimente dolor o ansiedad mientras atraviesa un procedimiento médico.
ABSTRACT
Background: Virtual reality (VR) is a promising non-pharmacological pain intervention because it may not only distract but also modulate pain by immersing the user in a three-dimensional 360° alternate reality. In children, VR has been reported to reduce clinical pain and anxiety during medical procedures. However, the effect of immersive VR on pain and anxiety remains to be investigated in randomized controlled trials (RCT). The aim of the present crossover RCT was to assess the effect of VR on pressure pain threshold (PPT) and anxiety level measured with the modified Yale Preoperative Anxiety Scale (mYPAS) in children in a controlled experimental setting.
Methods: Seventy-two children (mean age 10.2 (6–14) years) were randomized to 24 sequences of four interventions (immersive VR Game, immersive VR video, tablet: 2D video and control: small talk). Outcome measures PPT, mYPAS and heart rate were assessed before and after each intervention.
Results: PPT increased significantly during VR game (PPTdiff): 136 kPa (CI 112; 161), p < 0.0001 and VR Video (PPTdiff): 122 kPa (CI 91; 153), p < 0.0001. Also, anxiety levels significantly decreased during both VR game (mYPASdiff: −7 points (−8 to −5), p < 0.0001) and VR video (mYPASdiff: −6 points (CI −7; −4), p < 0.0001).
Conclusions: VR had a marked beneficial effect on PPT and anxiety compared with the control interventions: 2D video and small talk. Thus, immersive VR had a distinct modulatory effect on pain and anxiety in a well-controlled experimental setting. Immersive VR was effective and feasible in children and can act as a valid tool for non-pharmacological pain and anxiety management.
Significance: Paediatric immersive VR seems to be beneficial although well-controlled studies are pending. We investigated whether immersive VR can modulate children’s threshold for pain and anxiety level in an experimental well-controlled setting. We document a modulatory pain threshold increase andanxiety level decrease compared with extensive control conditions. Paediatric immersive VR is effective, feasible and valid for non-pharmacological pain and anxiety management. All efforts to reach the goal that no child should experience pain or anxiety when exposed to medical procedures.
Recibido: 08-01-2023
Aceptado: 08-03-2023
Correspondencia: L. Kjeldgaard Pedersen
linepede@rm.dk; linekjpe@hotmail.com
INTRODUCCIÓN
La realidad virtual (RV) inmersiva es un método prometedor para disminuir el dolor y la ansiedad (1). Sumerge a los usuarios de la misma en una realidad paralela tridimensional de 360° mediante el uso de unos auriculares con un par de gafas con sensores que siguen el movimiento de la cabeza. Además, los usuarios pueden interactuar con la realidad virtual con un mando (2). La RV puede reducir el dolor limitando el procesamiento de las señales de dolor mediante el estímulo de la corteza visual simultáneamente con otros sentidos (3). Otros efectos de la RV pueden conseguirse a través de la distracción, redirigiendo la atención y alejándola del estímulo doloroso y, por tanto, afectando tanto a la percepción del dolor como a la ansiedad situacional (4).
El uso de la RV está aumentando progresivamente en un entorno pediátrico clínico para el manejo del dolor no farmacológico y de la ansiedad y parece ser beneficioso para los niños, aunque está pendiente la realización de estudios experimentales adecuadamente controlados (5,6,7). En un metanálisis que analiza la eficacia clínica de la RV en una combinación de pacientes adultos y pediátricos con dolor agudo durante los procedimientos, 16 estudios aleatorios sugieren la disminución de los niveles de dolor con la RV (1). Sin embargo, tras un análisis de subgrupos, la RV no mostró efectos para procedimientos quirúrgicos menores o el cuidado de heridas por quemadura, pero tuvo efectos positivos en el dolor por agujas y la terapia física por quemaduras, lo que indica que los efectos de la RV varían dependiendo de la población afectada y del escenario clínico. Este conjunto emergente de estudios clínicos que examinan los efectos de la RV sobre el dolor o la ansiedad agudos o durante los procedimientos en distintos grupos de población debería fundamentarse sobre una base de estudios experimentales adecuadamente controlados. Además, un alto grado de polarización y heterogeneidad de los estudios clínicos de RV hace necesarios amplios estudios adecuadamente controlados y metodológicamente sólidos que validen el uso de la RV en un entorno experimental controlado eliminando el elemento de los procedimientos médicos dolorosos, antes de que sea recomendado el uso clínico generalizado de la RV. Los métodos de evaluación de alta calidad para el efecto independiente de la RV sobre el UDP y la ansiedad en un diseño de estudio cruzado ofrecen la posibilidad de condiciones de control óptimas en un entorno experimental en lugar de las incoherencias del estándar de atención, que suele servir como grupo de control en estudios clínicos. En un diseño cruzado, cada participante actúa como su propio control típicamente con dos intervenciones en dos secuencias (2 x 2). Sin embargo, un diseño cruzado aleatorio más avanzado garantiza condiciones de control exhaustivas que controlan la intervención no digital/pequeña charla y el vídeo no inmersivo en 2D en tableta electrónica, así como también los juegos de RV interactiva y el vídeo de RV en 3D (8,9).
En adultos, un estudio adecuadamente controlado ha observado que la RV inmersiva aumenta la tolerancia al dolor por calor y disminuye la ansiedad situacional (3). En niños, la RV de distracción interactiva y pasiva aumenta la tolerancia al dolor y el umbral de dolor, aunque utilizando tecnología de RV más antigua (10,11). Los umbrales de tolerancia al dolor son menos viables éticamente o sensibles en niños; por tanto, los umbrales de dolor pueden ser una mejor medida, ya que están menos afectados por factores psicológicos tales como la disposición a tolerar estímulos dolorosos. Ya que tanto la ansiedad situacional como el umbral de dolor son decisivos con relación a cómo percibe un niño un estímulo clínico doloroso, parece relevante una configuración experimental controlada que use la algometría y la modified Yale Preoperative Anxiety Scale (mYPAS) (12,13,14,15).
El objetivo del presente estudio fue la evaluación de los efectos de la RV inmersiva sobre el UDP y mYPAS en un entorno experimental controlado utilizando un ensayo cruzado intrasujeto con cuatro intervenciones. La hipótesis fue que la RV (juegos de RV y vídeo de RV inmersiva) tiene efectos modulatorios positivos sobre el umbral de dolor y el nivel de ansiedad (aumenta el UDP y disminuye la mYPAS) comparada con intervenciones de control (vídeo en 2D y pequeña charla).
METODOLOGÍA
Participantes
Setenta y dos niños (de 6 a 14 años) fueron reclutados tras el acuerdo de los niños y la firma del consentimiento por escrito de ambos progenitores. Los niños se incorporaron desde la clínica ambulatoria de ortopedia del hospital Aarhus University Hospital en 2021, y el estudio se realizó cuando la visita ambulatoria clínica había finalizado en un entorno experimental controlado. La especialidad de ortopedia infantil consiste en muchas subespecialidades, por ejemplo secuelas de trauma, malformaciones congénitas, alteraciones del crecimiento y malformaciones fisiológicas, y todas ellas necesitan la evaluación altamente especializada en nuestra clínica ambulatoria de ortopedia infantil. Ejemplos de diagnósticos de referencia infantiles incluidos en el presente estudio son genu valgo o varo, anisomelia, malformaciones del pie como calcaneovalgo o varo, marcha de puntillas idiopática, anomalías anatómicas fisiológicas del pie, pie varo o pie valgo u otros diagnósticos de referencia no confirmados en la consulta. En el presente estudio fueron incluidos solamente los participantes sin dolor crónico o recurrente.
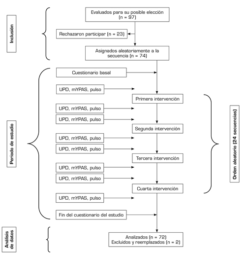
Fueron invitados a participar noventa y siete niños en la clínica ambulatoria, 74 de los cuales aceptaron. Veintitrés niños y sus padres rechazaron participar debido a su falta de tiempo o logística (17), desacuerdo de los padres con los medios virtuales (1) o sin explicación (5) (Figura 1). Dos fallos del hardware tuvieron como resultado la exclusión de dos niños, que fueron sustituidos por dos participantes adicionales. Los criterios de inclusión fueron la edad entre los 6 y los 14 años, y normalidad en las funciones cognitiva, visual y auditiva. Los criterios de exclusión fueron la visita ambulatoria con procedimiento invasivo (tomar muestra de sangre, quitar escayola y extracción de la aguja de Kirschner), dificultades del lenguaje, cinetosis severa, epilepsia, deficiencias cognitivas que impiden la valoración del dolor basándose en la autoevaluación, coagulopatías severas, infección en el área anatómica de las mediciones del UDP, ingesta de cualquier medicación para el dolor / la ansiedad en el día de la evaluación. Se hizo una criba para la elección del niño y sus padres mediante una consulta verbal, por ejemplo: “¿Sufres mareos causados por el movimiento?”. Si se informaba de criterios de exclusión, el niño no era incluido en el estudio. Otras medicaciones no constituyeron criterios de exclusión. No se llevaron a cabo cambios en la evaluación ni la planificación clínicas con motivo del presente estudio.
Los datos demográficos de referencia de los participantes están recogidos en la Tabla 1 y son enumerados en 24 grupos de distribución aleatoria. Todos los pacientes incluidos estaban cubiertos por el Seguro Danés del Paciente, y no se ofreció ningún salario ni otro tipo de remuneración a los pacientes ni al personal del estudio. El estudio cumple con la Declaración de la Asociación Médica Mundial y fue aprobado por el comité ético local (1-10-72-168-21), la Agencia Danesa de Protección de Datos y la regulación RGPD. El presente estudio no ha sido un RCT de intervención médica con influencia en el tratamiento de los pacientes, por lo tanto no ha sido registrado en ClinicalTrials.gov o registros similares.
Tabla I. Datos demográficos de referencia enumerados en 24 grupos de aleatorización que reflejan el diseño cruzado.
Nota: Los números son valores promedio.
aSexo: M: hombre; F: mujer.
bUso previo de RV: N: nunca; S: a veces; O: a menudo.
Jugador (Y/N): Y: sí; N: no.
cMareo por movimiento: Y: sí; N: no.
dNRS de referencia: NRS: escala de calificación numérica.
Diseño controlado aleatorio cruzado
Se ha aplicado un diseño de estudio aleatorio cruzado testando cuatro intervenciones en cada uno de los 72 participantes. Tres participantes fueron aleatoriamente asignados a las 24 secuencias posibles (4*3*2 = 24) con sobres cerrados. El diseño de este estudio es más avanzado comparado con el diseño cruzado simple 2 x 2, pero con la misma capacidad de permitir el análisis emparejado de las cuatro intervenciones (Figura 1) (8).
El tamaño de muestra de n = 72 se basó en el cálculo de un análisis emparejado de datos normativos con el resultado primario con un UDP de población promedio de niños sanos (183.1 kPa, SD: 90.7) (13). La diferencia esperada de UDP entre el control y la intervención de RV fue de 75kPa. Con el 90 % de fuerza y el 95 % de nivel de alcance (α = 0,05, β = 0,1), se necesitaría un tamaño de muestra de 62 niños. Sin embargo, un tamaño de muestra total de 72 niños fue reclutado para garantizar grupos iguales de tres participantes en cada una de las 24 secuencias de las cuatro intervenciones. La aleatorización en las 24 secuencias posibles nos permitió estimar un efecto de arrastre potencial de una intervención a otra y calcular el verdadero efecto de la intervención.
Fig. 1. Organigrama CONSORT 2010 basado en la declaración CONSORT 2010: extensión de ensayos aleatorios cruzados. Las cuatro intervenciones fueron controles, vídeo en 2D, vídeo de RV y juego de RV asignados aleatoriamente en 24 secuencias.
Intervenciones
Las cuatro intervenciones, cada una de 4 minutos, fueron las siguientes:
Fig. 2. Durante cuatro intervenciones, cada niño fue expuesto en una configuración aleatoria en este estudio intrasujeto. Esta figura muestra a cuatro niños distintos durante una de las cuatro intervenciones que experimentaron todos ellos. a) Juego de RV: capturas de pantalla del juego del safari, en las que el niño realiza fotografías de animales en un mundo inmersivo de 360 grados. b) Vídeo de RV: el niño ve los animales durante un safari inmersivo de 360 grados (capturas de pantalla), pero no usa un mando. c) Vídeo en 2D: el niño observa el mismo vídeo del safari en una tableta electrónica sin auriculares. d) Control – pequeña charla: un niño durante el periodo de control charlando con uno de los investigadores. El mismo investigador (LKP) llevó a cabo las cuatro intervenciones. Se pidió y se obtuvo la confirmación del consentimiento informado con respecto a las fotografías reconocibles.
Procedimiento del estudio
Durante las cuatro intervenciones se utilizó una configuración estandarizada. El niño fue situado en una silla cómoda y giratoria junto a sus padres en una habitación cerrada y tranquila. A los padres se les pidió que solo interactuasen con el niño si la situación era desencadenada por este último. Los datos fueron obtenidos en una habitación de evaluación estándar a puerta cerrada y sin interrupciones externas. Para ajustarlo a preferencias personales, se introdujo el tema de un safari para todas las intervenciones excepto para los controles. Durante el vídeo en 2D, se colocó una tableta electrónica sobre una mesa frente al niño y se pidió al niño que no tocase dicha tableta. Durante el vídeo de RV no era necesario el mando, de modo que solo se usaron la diadema y los auriculares de RV (Figura 2b). Se explicó al niño que los animales podrían rodearlos y se le recordó que su asiento era giratorio. Para el vídeo de RV y el juego de RV, los investigadores pudieron seguir la experiencia visual del niño a través de la función del espectador en la tableta electrónica. Durante el juego de RV, el mando manual se colocó en la mano dominante del niño. El uso del mando durante el juego se introdujo antes de ponerle al niño la diadema y los auriculares de RV (Figura 2b).
Las especificaciones del equipo son: diadema de auriculares de RV (tipo: Pico G2 4K Enterprise), tableta de espectador (tipo: Samsung A7) y auriculares antirruido (tipo: MPOW) de SyncVR Medical DK ApS®, Dinamarca (CVR 42404276).
Mediciones de resultados
Inmediatamente antes de cada intervención y después de la exposición a la intervención durante 4 minutos, se evaluaron el umbral de dolor por presión (UDP), la frecuencia cardíaca y la modified Yale Preoperative Anxiety Scale (mYPAS) (Figura 1). El UDP fue el resultado primario, mientras que mYPAS, frecuencia cardiaca, NRS y cuestionario fueron resultados secundarios.
El resultado primario, UDP, fue obtenido utilizando un algómetro de mano (Algometer®, Somedic Sales, Hörby, Suecia) con una tasa de aplicación de 20 kPa/s y está validado para la evaluación pediátrica del UDP (Figura 3). El UDP se define como el punto en el que una presión creciente (por el algómetro) alcanza un nivel en el que la percepción de la presión comienza a sentirse como dolor. La medición del umbral de dolor más que del nivel de dolor o de la intensidad del dolor nos puede proporcionar una comprensión más profunda de cómo la RV modula la respuesta al dolor en niños. A los niños se les explicó que debían decir “ya”, durante la evaluación de UDP, cuando la sensación de presión pasase a ser una sensación de dolor. La presión máxima aplicada se mostraba por tanto en el algómetro (Figura 3). Para disminuir el miedo del niño a la evaluación, se realizaba una evaluación de prueba del UDP. Se calculó el promedio de dos mediciones de la eminencia tenar de la mano con el sensor perpendicular al primer metacarpo. La evaluación del UDP en niños menores de 6 años no ha sido validada, y se asume que los adolescentes tendrán umbrales de dolor adultos. A todos los niños se les proporcionó información verbal estandarizada sobre las evaluaciones del UDP antes y durante el estudio (13). El mismo investigador realizó todas las mediciones (LKP).
Fig. 3. Algometría. a) Una medición con algómetro de mano sobre la eminencia tenar de la mano con el sensor perpendicular al primer metacarpo. (Algometer®, Somedic Sales, Hörby, Suecia). El mismo investigador realizó todas las evaluaciones (LKP). b) La evaluación con algómetro causa típicamente una marca de presión pasajera sobre la eminencia tenar.
El nivel de ansiedad fue evaluado utilizando la versión danesa validada de la modified Yale Preoperative Anxiety Scale (mYPAS), que está validada para la ansiedad situacional pediátrica durante los procedimientos médicos (12,15). La mYPAS está formada por cinco categorías (actividad, expresividad emocional, estado de agitación, vocalización y uso de los padres), que definen 22 comportamientos específicos que indican ansiedad en un niño. Cada categoría tiene distintos números de elementos (cuatro o seis), por tanto se usan pesos parciales para la puntuación total que oscila entre 23,33 (el nivel más bajo de ansiedad) y 100 (el nivel más alto de ansiedad). El mismo investigador realizó todas las evaluaciones (LYVF). No fue posible impedir la visión del investigador con respecto a la intervención, ya que existen diferencias importantes en las intervenciones.
La frecuencia cardiaca fue evaluada por oximetría en la mano no dominante (WristOx2, Model 3150, Nonin), y fue leída y registrada antes de cada evaluación del UDP.
En el punto de partida y tras la evaluación, se pidió a los niños que puntuasen su nivel de dolor utilizando una escala de puntuación numérica (NRS), en la que 0 significa sin dolor y 10 representa el nivel máximo de dolor.
Un cuestionario no validado fue proporcionado de forma verbal al comienzo y al final del estudio. Los elementos de los cuestionarios no validados incluyeron experiencias previas con la RV, si se consideraban a sí mismos gamers, número estimado de horas semanales de juegos digitales y tendencia al mareo por movimiento (Figura 1). Los datos serán publicados de manera independiente.
Análisis estadísticos
Los datos son mostrados como promedio (95 % de intervalo de confianza [CI]) o mediana (rango) y las diferencias son comparadas utilizando análisis de varianza (ANOVA) con la prueba de comparación múltiple de Holm-Sidak que limita los errores de tipo 1 (16). El ANOVA multivariado de medidas repetidas en el presente estudio es utilizado con el UDP y la mYPAS como variables dependientes de medidas repetidas. Todos los análisis estadísticos han sido realizados utilizando Prism o STATA versión 16, con nivel de alcance de 0,05.
RESULTADOS
Se obtuvieron para su análisis los datos completos de 72 niños (33 chicas y 39 chicos). La edad promedio fue de 10,5 años (rango 6-14), siguiendo una distribución normal examinada en los gráficos Q-Q. No hubo diferencias significativas en cuanto a edad o género en los grupos de aleatorización (Tabla 1). La evaluación del UDP fue bien tolerada por parte de todos los niños.
El juego de RV y el vídeo de RV aumentaron significativamente el UDP con una diferencia media de 136 kPa (CI 112; 161), p < 0,0001 y 122 kPa (CI 91-153), p < 0,0001 respectivamente. El vídeo no inmersivo en 2D tuvo un efecto menor pero significativo estadísticamente sobre el UDP: 47 kPa (CI 24-69), p = 0,0002, mientras que los controles (pequeña charla) no afectaron estadísticamente de forma significativa al promedio de UDP, 17kPa (CI -2; 35), p = 0,0746 (Figura 4). El efecto de arrastre entre intervenciones fue mínimo y fue estimado comparando la diferencia media del UDP en la secuencia aleatorizada, que es PPT diff (control, 1.º) vs. PPT diff (control, 2.º) vs. PPT diff (control, 3.º) vs. PPT diff (control, 4.º).
Fig. 4. Resultados principales. Valores promedio de antes y después de UDP y mYPAS en las cuatro intervenciones con diferencias y líneas verticales que indican 95 % CI. Las diferencias promedio (95 % CI) están indicadas en la parte superior. Hay que tener en cuenta que las cuatro intervenciones están representadas en orden según tamaño del efecto. Sin embargo, la secuencia en el ensayo fue completamente aleatoria para los 72 participantes.
Los niveles de ansiedad mejoraron durante el juego de RV (mYPAS diff: −7 puntos (−8 a −5), p < 0,0001) y el vídeo de RV (mYPAS diff: −6 puntos (CI -7; −4), p < 0,0001. No se observó diferencia en el nivel de ansiedad durante el vídeo en 2D (mYPAS diff: −1 punto (CI −2; 1), p = 0,5695) o el control (mYPAS diff: 0 puntos (CI −1; 1), p = 0,9140) (Figura 4). Con respecto a los niveles de ansiedad, se observó un efecto de arrastre entre la primera intervención y las siguientes intervenciones. En la segunda, tercera y cuarta distribución, los datos de mYPAS fueron similares a las puntuaciones totales de mYPAS, indicando que el orden de distribución solo influyó en la mYPAS en la primera distribución y no se observó un efecto de arrastre considerable sobre mYPAS. (mYPAS diff (control-primero): −1 kPa (CI −2; 0), p = 0,0231; mYPAS diff (vídeo 2D-primero): −5 kPa (CI −9; −1), p = 0,0118; mYPAS diff (vídeo RV-primero): −6 kPa (CI −10; −3), p = 0,0020; mYPAS diff (juego RV-primero): −12 kPa (CI -17; −8), p = 0,0000).
Cuando se analizó la frecuencia cardiaca (HR) de los participantes durante las cuatro intervenciones, el juego de RV mostró el mayor aumento, aunque este no fue significativo (HR diff [juego RV]: 1,5 bpm [CI 0,1; 2,9], p = 0,1196). Los datos de la primera distribución no mostraron cambios significativos en la frecuencia cardiaca. El nivel de dolor durante todo el periodo del estudio no cambió (NRSPRE = 1,0; NRSPOST = 1,0; NRSDIFF = 0,0; 95 % CI: −0,3;0,4; p = 0,6677), indicando que no se provocó un cambio experimental.
El cuestionario no validado demostró que todos los niños disfrutaron de la experiencia de RV con una puntuación media de 8,2 (CI: 7,8-8,6) en una escala de 10 puntos y 9,1 (CI: 8,7–9,5) con respecto a si les gustaría probar de nuevo la RV. El efecto relajante informado por ellos mismos de la RV fue de 7,4 (CI: 6,9-7,9), de náuseas 0,5 (CI: 0,3-0,8), y de malestar 0,8 (CI: 0,4-1,1).
No se encontraron correlaciones entre características de los antecedentes y el efecto de la RV sobre el umbral de dolor por presión y la ansiedad.
DISCUSIÓN Y CONCLUSIONES
En el presente estudio, la RV inmersiva (de vídeo y de juego) aumentó significativamente el umbral de dolor y disminuyó los niveles de ansiedad en un entorno experimental adecuadamente controlado. El vídeo en 2D tuvo un efecto de un minuto sobre el umbral de dolor pero no alivió la ansiedad. La charla (control) no tuvo un efecto estadístico significativo sobre estas mediciones de resultados. El efecto positivo de la RV inmersiva sobre el umbral de dolor y el nivel de ansiedad fue muy importante para el vídeo de RV y el juego de RV. El vídeo de RV puede ser preferible para procedimientos médicos invasivos que el juego de RV, ya que con este último se observaron movimientos repentinos de ambas extremidades superiores. Esto hace que el vídeo de RV sea más apropiado para su uso durante las intervenciones médicas, por ejemplo catéteres intravenosos pero también yeso de fracturas o eliminación de agujas de Kirschner percutáneas en la clínica ambulatoria (distracción pasiva). Por el contrario, el juego de RV mostró un mayor cambio absoluto en el umbral de dolor y la ansiedad comparado con el vídeo de RV, reflejando posiblemente una modulación de la percepción del dolor y distracción debido a la interactividad del juego (distracción activa). Ambas modalidades de RV son inmersivas y demuestran la hipótesis de que las soluciones inmersivas son más eficaces comparadas con el vídeo en 2D no inmersivo.
Estudios previos que investigan el efecto procedimental de la RV en niños han observado un efecto beneficioso en el nivel de dolor infantil evaluado, aunque comparado con un estándar de cuidados y sin diseños adecuadamente controlados. El presente estudio se centró en el umbral de dolor y el nivel de ansiedad en niños en entornos experimentales y bajo condiciones adecuadamente controladas. Además, el estudio muestra un efecto positivo e individual de la RV tanto sobre el dolor como sobre la ansiedad en niños y valida la RV como herramienta para el manejo del dolor no farmacológico y de la ansiedad. Al contrario que otros estudios previos, el presente estudio utiliza condiciones de control exhaustivo (vídeo en 2D y pequeña charla / control) que confirman que el efecto de la RV sobre el UDP y la ansiedad es independiente y está presente cuando se cambia solo una constante cada vez. Hay estudios que han descrito UDP anormales en niños con enfermedades; sin embargo, pocos estudios han investigado si el UDP puede ser modulado en niños bajo condiciones experimentales y excluyendo a los grupos de población adolescente y adulta (17,18,19).
De conformidad con Colloca y cols., la influencia autónoma y afectiva de la RV inmersiva en el dolor no farmacológico y la ansiedad se trasladan bien a la población pediátrica (3). Los estudios de procedimientos médicos pediátricos indican un efecto positivo sobre el dolor y la ansiedad como se detalla en un metanálisis de Eijlers y cols. (6); sin embargo, solo se aportaron datos limitados con respecto a evaluaciones de la ansiedad. Jivraj y cols. (7) utilizó la RV mientras retiraba escayolas en niños y encontró un efecto positivo importante sobre la ansiedad durante y tras el procedimiento evaluado por la escala objetiva CEMS (Children’s Emotional Manifestations Scale). La compleja interacción entre el dolor, la ansiedad, el pensamiento catastrófico y otros factores individuales de los niños son todavía un enigma y la mayoría de los estudios pediátricos de RV se centran en el dolor procedimental evaluado en niños. Walther-Larsen y cols. (20) no encontraron diferencia en las puntuaciones de dolor durante la canulación venosa en niños aleatorizados entre los controles y el uso de la RV. Sin embargo, el nivel de dolor fue evaluado por los niños y registrado indicando dolor 15 minutos después del procedimiento. Gomez-Polo y cols. (4) se centran en la ansiedad y el comportamiento en niños que requieren varios tratamientos dentales. Ellos observan que el uso de la RV disminuye significativamente la ansiedad procedimental evaluada por los niños y aumenta el comportamiento positivo, aunque solo se usaron métodos de evaluación subjetivos, y expresan que existe una fuerte correlación entre la ansiedad y la percepción infantil del dolor. Esto subraya la importancia del presente estudio en su investigación de la relación entre estos aspectos utilizando métodos de evaluación objetivos y validados.
Colloca y cols. (3) encontraron un aumento significativo del umbral de dolor por calor y de la tolerancia en las modalidades de RV inmersivas en un diseño de estudio intrasujeto en adultos utilizando la RV inmersiva (con temas del océano y la ópera) y también los controles con 2D. Concluyeron que la RV inmersiva en adultos aumentó el umbral de tolerancia del dolor, pero también condujo a una mejora del estado de ánimo, de la ansiedad situacional y del desagrado por el dolor. El presente estudio corrobora estos descubrimientos demostrando que el UDP aumenta y la ansiedad disminuye en una población pediátrica durante la RV inmersiva. Además, nuestro estudio también incluye un periodo de control con una pequeña charla que refuerza el diseño del estudio y evita las evaluaciones de tolerancia al dolor en niños. Esto es debido no solo a consideraciones éticas, sino también a que los umbrales de dolor se ven menos afectados por factores fisiológicos tales como la voluntad de tolerar el dolor (13).
El diseño cruzado fortalece el estudio permitiendo la comparación de datos por parejas y garantiza la transparencia con referencia a la extensión de la declaración CONSORT (8). Cuando se aplica un estudio cruzado avanzado, la heterogeneidad de la población es controlada de forma inherente y la fuerza estadística es mayor comparada con un diseño de grupo paralelo (21). Algunos resultados frecuentemente utilizados en estudios de RV a menudo no consiguen integrar la naturaleza heterogénea del nivel de dolor, del umbral de dolor, de la ansiedad situacional y del pensamiento catastrofista. Dwan y cols. (8) definen el efecto de arrastre como el hecho de que el efecto de la primera intervención persista en el segundo (tercer o cuarto) periodo y definen un efecto periodo, como lo que ocurre cuando el resultado de interés cambia con el tiempo independientemente del efecto del tratamiento. Como este estudio se adhiere fundamentalmente a un diseño cruzado avanzado con cuatro intervenciones, una prueba general estadística para la separabilidad para evaluar los efectos del tratamiento independientemente de efectos de arrastre o regresión lineal, modelos mixtos con software especial (22) no fueron viables. Tuvimos en cuenta los efectos del tiempo y el efecto de arrastre mediante el diseño de 24 secuencias aleatorias de las cuatro intervenciones. Además, el resultado primario, UDP, mostró valores iniciales similares para las cuatro intervenciones cuando se observa el valor total comparado con los primeros, segundos, terceros y cuartos datos de distribución indicando que el efecto de la intervención previa no persiste en la siguiente, rechazando así la presencia de un efecto de arrastre significativo.
Con respecto a la valoración de la ansiedad con mYPAS, independientemente de la intervención con la que hubieran sido aleatorizados a recibir en primer lugar, todos los niños tenían un nivel más alto de ansiedad antes de la primera intervención, y no estaba presente en la segunda, tercera o cuarta distribución. Esto no se interpreta como efecto de arrastre, sino más bien como un signo de un nivel más alto de ansiedad situacional en todos los niños antes del comienzo del protocolo del estudio, debido quizá al entorno de estudio experimental en el que era ubicado el niño, a pesar de los intentos por crear un entorno tranquilo. Sin embargo, esta ansiedad situacional fue resuelta rápidamente y no se observaron abandonos durante las intervenciones del estudio. El protocolo completo del estudio duró aproximadamente 25 minutos, tiempo durante el cual no se espera que cambien de forma importante el umbral de dolor ni el nivel de ansiedad sin que la intervención descarte un efecto tiempo potencial. Sin embargo, como expresaron Wellek y cols. (22), un simple ejemplo de un efecto periodo puede ser la familiarización con la situación del estudio. En estudios cruzados tradicionales, se necesita un periodo de reposo entre los periodos de tratamiento para que dicho tratamiento pueda eliminarse (es decir, que la medicación se elimine del cuerpo) antes del siguiente periodo de tratamiento. Según expresaron Chan y cols. (1), parece poco probable que la RV pudiera tener un efecto persistente. En el presente estudio, el efecto sobre el UDP de la RV y de las intervenciones de control volvió al punto de partida en el corto periodo entre las intervenciones, lo cual indica que hay un periodo de reposo adecuado. Esto es acorde con Dwan y cols. (8), que afirman que los ensayos cruzados son apropiados principalmente cuando el efecto de la intervención es reversible y de corta duración.
No están presentes limitaciones, riesgos o efectos secundarios significativos. La validación externa es buena en niños (6-14 años) y los resultados se pueden generalizar al dolor crónico, agudo y procedimental. Fue imposible cegar al evaluador del UDP y de mYPAS. Además, se eligió un tema de safari con distintos animales para todas las intervenciones, presumiendo un interés generalizado por dicho tema en el grupo de edad presente. Por otro lado, se observó un pequeño efecto techo con respecto a la edad con una edad promedio de 10,5 años (rango 6-14 años). La evaluación del UDP en niños menores de 6 años no ha sido validada y se presume que los pacientes mayores de 14 años tienen una percepción del dolor y una respuesta a la RV como las de los adultos, por lo tanto se requiere al presente grupo de edad que evalúe la percepción pediátrica del dolor y la respuesta pediátrica a la RV. Se informó de un bajo nivel de náuseas y malestar. Otros estudios han mostrado un riesgo de náuseas relacionado con la RV.
En conclusión, la RV inmersiva puede modular el umbral de dolor y el nivel de ansiedad de un niño. Los resultados son significativos. El umbral de dolor aumenta y la ansiedad disminuye durante el uso inmersivo e interactivo de la RV en niños evaluados en condiciones experimentales y adecuadamente controladas. Por tanto, la RV puede jugar un papel importante en la modulación de los umbrales de dolor, y es beneficiosa para el manejo en niños del dolor no farmacológico y de la ansiedad. La correcta comprensión de la relación existente entre el dolor, la ansiedad y los factores personales (personalidad/comportamiento, valores, experiencias previas y cultura) es una importante perspectiva a tener en cuenta para la investigación futura de la RV en el manejo del dolor pediátrico no farmacológico y de la ansiedad, así como la investigación de los efectos del contenido personalizado de RV. Todos los esfuerzos pretenden alcanzar el objetivo de que ningún niño experimente dolor o ansiedad mientras atraviesa un procedimiento médico.
CONTRIBUCIONES DE LOS AUTORES
Todos los autores discutieron los resultados y comentaron sobre el manuscrito. L. Kjeldgaard Pedersen, L. Y. V. Fisker, J. D. Rölfing, P. Ahlburg, M. Veien, L. Vase and B MøllerMadsen contribuyeron al diseño del estudio y a la preparación inicial. L. Kjeldgaard Pedersen y LYVF contribuyeron en la recogida de datos. L. Kjeldgaard Pedersen, L. Y. V. Fisker y J. D. Rölfing contribuyeron al análisis de datos. L. Kjeldgaard Pedersen, L. Y. V. Fisker, J. D. Rölfing, P. Ahlburg, M. Veien, L. Vase y B Møller-Madsen contribuyeron en la preparación y revisión del manuscrito.
AGRADECIMIENTOS
Damos las gracias a todos los niños y sus padres por su participación.
INFORMACIÓN SOBRE LA FINANCIACIÓN
No fue necesaria la financiación para el presente estudio. La diadema de auriculares de RV utilizada es propiedad del Área de Cirugía Ortopédica, Aarhus University Hospital.
DECLARACIÓN DE CONFLICTO DE INTERESES
Ninguno de los autores tiene conflictos de intereses que declarar.
ORCID
L. Kjeldgaard Pedersen https://orcid. org/0000-0003-3368-6638.
BIBLIOGRAFÍA