Año 2021 / Volumen 28 / Número 5

Original

Eficacia y complicaciones de las técnicas analgésicas para el tratamiento del dolor agudo postoperatorio moderado a intenso
Efficacy and complications of analgesic techniques for the treatment of moderate to severe postoperative acute pain

Rev. Soc. Esp. Dolor. 2021; 28(5): 264-265 / DOI: 10.20986/resed.2021.3942/2021

Adriana María Buriticá, Francisco Javier Vilá, Antonio Montero


RESUMEN

Introducción: A pesar de los esfuerzos y la evidencia disponible, el dolor agudo postoperatorio (DAP) moderado a intenso continúa teniendo una prevalencia elevada en nuestro medio. Como parte de una estrategia de analgesia balanceada o multimodal, las técnicas de analgesia regional ofrecen un adecuado control analgésico con menores efectos indeseables (que el uso exclusivo de opioides), aunque no están exentas de complicaciones y no son aplicables a todas las cirugías. El objetivo de este trabajo fue valorar la eficacia de las técnicas analgésicas para el tratamiento del DAP moderado a intenso, la incidencia de complicaciones asociadas a estas técnicas y la relación entre DAP y el antecedente de dolor crónico.
Pacientes y métodos: Estudio retrospectivo que incluyó 728 pacientes en los que se indicaron técnicas analgésicas, como analgesia epidural, analgesia perineural continua y analgesia controlada por el paciente (PCA) con morfina intravenosa, para el tratamiento del DAP moderado a intenso entre octubre del 2018 y octubre del 2020. Los pacientes fueron valorados por la Unidad de Dolor Agudo Postoperatorio (UDAP) a las 24 y 48 horas, se registró el dolor con la ENV (Escala Numérica Verbal), la presencia de reacciones adversas y/o complicaciones, empleo de analgesia multimodal y consumo de morfina en equivalentes intravenosos. Los niveles de dolor se clasificaron en leve (ENV: 0-3), moderado (ENV: 4-6) e intenso (ENV mayor o igual a 7).
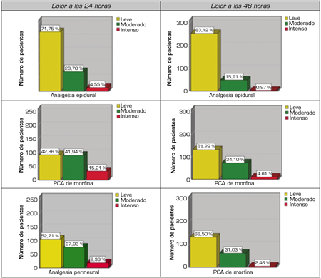
Resultados: Cerca del 60 % de los pacientes presentaron dolor leve a las 24 horas y del 70 % a las 48 horas. Un 71,8 % de los portadores de analgésica continua epidural presentaron dolor leve el primer día y un 83 % al segundo. Las cirugías con niveles más altos de dolor moderado e intenso fueron la cirugía espinal en la que se empleó la PCA de morfina y la artroplastia de rodilla en que se utilizó analgesia a través de bloqueo femoral continuo. El consumo de morfina registrado en las PCA fue de 25,8 mg (DE: 18,4) a las 24 horas y de 18,6 mg (DE: 14,6) a las 48 horas. No hubo complicaciones graves asociadas a ninguna de las técnicas, excepto las retiradas accidentales de catéteres epidurales (3,6 %). En los bloqueos periféricos continuos, las retiradas accidentales (13 %) y las fugas pericatéter (6,4 %) fueron las complicaciones más frecuentes. Hubo una relación significativa entre el antecedente de dolor crónico y la intensidad de dolor postoperatorio (p = 0,000).
Conclusiones: Las técnicas analgésicas evaluadas para el manejo del DAP moderado e intenso, se consideran eficaces. La analgesia epidural torácica fue la técnica más eficaz con los porcentajes más altos de dolor leve a las 24 y 48 horas. Los pacientes con antecedente de dolor crónico presentaron porcentajes más altos de dolor moderado e intenso a las 24 y 48 horas.



ABSTRACT

Introduction: Despite the efforts and the available evidence, moderate to severe acute postoperative pain (APP) continues to have a high prevalence in our setting. As part of a balanced or multimodal analgesia strategy, regional analgesia techniques offer adequate analgesic control with fewer undesirable effects (that the exclusive use of opioids), although they are not free of complications and do not apply to all surgeries. This study aimed to assess the efficacy of analgesic techniques for the treatment of moderate to intense APP, the incidence of complications associated with these techniques, and the relationship between APP and the presence of chronic pain.
Patients and methods: This retrospective study included 728 patients in which analgesic techniques such as epidural analgesia, continuous perineural analgesia, and morphine Patient Controlled Analgesia (PCA) were indicated to treat moderate to severe APP between October 2018 and October 2020. The patients were evaluated by the APP service at 24 and 48 hours, the pain was recorded with the NRS (Numerical Rating Scale), and the study also registered the presence of adverse reactions and/or complications, the use of multimodal analgesia, and the consumption of morphine in equivalent intravenous doses. Pain levels were classified as mild (NRS: 0-3), moderate (NRS: 4-6) and intense (NRS greater than or equal to 7).
Results: Approximately 60 % of all patients presented mild pain at 24 hours and 70 % at 48. Epidural opioianalgesia in abdominal surgery presented 71.8 % mild pain on the first day and 83 % on the second. The surgeries with the highest levels of moderate and severe pain were spinal surgery using morphine PCA and knee replacement with continuous femoral nerve block. The morphine consumption recorded in the PCA was 25.8 mg (SD 18.4) at 24 hours and 18.6 mg (SD: 14.6) at 48 hours. There were no serious complications associated with any of the techniques, except for accidental removal of epidural catheters (3.6 %). In continuous peripheral nerve blocks, accidental withdrawals (13 %), and leakage from the catheter insertion site (6.4 %) were the most frequent complications. There was a significant relationship between chronic pain and pain intensity (p = 0.000).
Conclusions: Analgesic techniques for the management of APP, achieve better analgesic levels with few complications. The role of effective and safe thoracic epidural analgesia in open abdominal surgery stands out. Patients with a history of chronic pain had higher percentages of moderate and severe pain at 24 and 48 hours.





Artículo Completo

Nuevo comentario

Código de seguridad:
CAPTCHA code image
Speak the codeChange the code
 

Comentarios

No hay comentarios para este artículo.

Bibliografía

1. Kehlet H. Postoperative pain, analgesia, and recovery-bedfellows that cannot be ignored. Pain. 2018;159(Suppl. 1):S11-S16.
2. Chou R, Gordon DB, de Leon-Casasola OA, Rosenberg JM, Bickler S, Brennan T, et al. Management of Postoperative Pain: A Clinical Practice Guideline From the American Pain Society, the American Society of Regional Anesthesia and Pain Medicine, and the American Society of Anesthesiologists' Committee on Regional Anesthesia, Executive Committee, and Administrative Council. J Pain. 2016;17(2):131-57.
3. Pogatzki-Zahn EM, Segelcke D, Schug SA. Postoperative pain-from mechanisms to treatment. Pain Rep. 2017;2(2):e588.
4. Small C, Laycock H. Acute postoperative pain management. Br J Surg. 2020;107(2):e70-e80.
5. Garimella V, Cellini C. Postoperative pain control. Clin Colon Rectal Surg. 2013;26(3):191-6.
6. Gan TJ. Poorly controlled postoperative pain: prevalence, consequences, and prevention. J Pain Res. 2017;10:2287-98.
7. Gan TJ, Habib AS, Miller TE, White W, Apfelbaum JL. Incidence, patient satisfaction, and perceptions of post-surgical pain: results from a US national survey. Curr Med Res Opin. 2014;30(1):149-60.
8. Correll DJ, Vlassakov KV, Kissin I. No evidence of real progress in treatment of acute pain, 1993-2012: scientometric analysis. J Pain Res. 2014;7:199-210.
9. Sommer M, de Rijke JM, van Kleef M, Kessels AG, Peters ML, Geurts JW, et al. The prevalence of postoperative pain in a sample of 1490 surgical inpatients. Eur J Anaesthesiol. 2008;25(4):267-74.
10. Gerbershagen HJ, Aduckathil S, van Wijck AJ, Peelen LM, Kalkman CJ, Meissner W. Pain intensity on the first day after surgery: a prospective cohort study comparing 179 surgical procedures. Anesthesiology. 2013;118(4):934-44.
11. Polanco-García M, García-Lopez J, Fàbregas N, Meissner W, Puig MM; PAIN-OUT-Spain Consortium. Postoperative Pain Management in Spanish Hospitals: A Cohort Study Using the PAIN-OUT Registry. J Pain. 2017;18(10):1237-52.
12. Glare P, Aubrey KR, Myles PS. Transition from acute to chronic pain after surgery. Lancet. 2019;393(10180):1537-46.
13. Schug SA, Lavand'homme P, Barke A, Korwisi B, Rief W, Treede RD; IASP Taskforce for the Classification of Chronic Pain. The IASP classification of chronic pain for ICD-11: chronic postsurgical or posttraumatic pain. Pain. 2019;160(1):45-52.
14. Esteve-Pérez N, Sansaloni-Perelló C, Verd-Rodríguez M, Ribera-Leclerc H, Mora-Fernández C. Nuevos enfoques en el tratamiento del dolor agudo postoperatorio. Rev Soc Esp Dolor. 2017;24(3):132-9. DOI: 10.20986/resed.2017.3542/2016.
15. Kuchinsky S, Ascher J. Postoperative multimodal pain management. Lab Anim (NY). 2015;44(4):132-4.
16. Matute Crespo M, Montero Matamala A. Pharmacological advances in the multimodal management of perioperative analgesia. Rev Esp Anestesiol Reanim. 2017;64(8):467-71.
17. Tran DQ, Krodel DJ. Optimal Organization of Acute Pain Services: At the Confluence of Semantics, Logistics, and Economics. Anesth Analg. 2018;127(4):808-10.
18. Miclescu A, Butler S, Karlsten R. The changing face of acute pain services. Scand J Pain. 2017;16:204-10.
19. Stamer UM, Liguori GA, Rawal N. Thirty-five Years of Acute Pain Services: Where Do We Go From Here? Anesth Analg. 2020;131(2):650-6.
20. Aguilar JL. Situación actual del dolor agudo postoperatorio en el Sistema Nacional de Salud. Las tecnologías de la información y comunicación ayudan a conseguir un hospital (y atención primaria) sin dolor. Rev Soc Esp Dolor. 2016;26(3):139-43. DOI: 10.20986/resed.2019.3739/2019.
21. Rockett M, Vanstone R, Chand J, Waeland D. A survey of acute pain services in the UK. Anaesthesia. 2017;72(10):1237-42.
22. Sng BL, Sia ATH. Maintenance of epidural labour analgesia: The old, the new and the future. Best Pract Res Clin Anaesthesiol. 2017;31(1):15-22.
23. Esteve-Pérez N, Mora-Fernández C. Analgesia epidural postoperatoria: ¿cuál es su papel en la práctica anestésica actual?. Rev Soc Esp Dolor. 2018;25(1):1-3. DOI: 10.20986/resed.2018.3654/2018.
24. Rawal N. Current issues in postoperative pain management. Eur J Anaesthesiol. 2016;33(3):160-71.
25. Bos EME, Hollmann MW, Lirk P. Safety and efficacy of epidural analgesia. Curr Opin Anaesthesiol. 2017;30(6):736-42.
26. Pöpping DM, Elia N, Van Aken HK, Marret E, Schug SA, Kranke P, et al. Impact of epidural analgesia on mortality and morbidity after surgery: systematic review and meta-analysis of randomized controlled trials. Ann Surg. 2014;259(6):1056-67.
27. Weiss R, Pöpping DM. Is epidural analgesia still a viable option for enhanced recovery after abdominal surgery. Curr Opin Anaesthesiol. 2018;31(5):622-9.
28. Suksompong S, von Bormann S, von Bormann B. Regional Catheters for Postoperative Pain Control: Review and Observational Data. Anesth Pain Med. 2020;10(1):e99745.
29. Kooij FO, Schlack WS, Preckel B, Hollmann MW. Does regional analgesia for major surgery improve outcome? Focus on epidural analgesia. Anesth Analg. 2014;119(3):740-4.
30. Coyle D, Joyce KM, Garvin JT, Regan M, McAnena OJ, Neary PM, et al. Early post-operative removal of urethral catheter in patients undergoing colorectal surgery with epidural analgesia – a prospective pilot clinical study. Int J Surg. 2015;16(Pt A):94-98.
31. Hayami S, Ueno M, Kawai M, Kuriyama T, Kawamata T, Yamaue H. Optimal Timing of Removal of Epidural and Urethral Catheters to Avoid Postoperative Urinary Retention Undergoing Abdominal Surgery. Dig Surg. 2019;36(3):261-5.
32. Schreiber A, Aydil E, Walschus U, Glitsch A, Patrzyk M, Heidecke CD, Schulze T. Early removal of urinary drainage in patients receiving epidural analgesia after colorectal surgery within an ERAS protocol is feasible. Langenbecks Arch Surg. 2019;404(7):853-63.
33. Alboog A, Bae S, Chui J. Anesthetic management of complex spine surgery in adult patients: a review based on outcome evidence. Curr Opin Anaesthesiol. 2019;32(5):600-8.
34. Pendi A, Field R, Farhan SD, Eichler M, Bederman SS. Perioperative Ketamine for Analgesia in Spine Surgery: A Meta-analysis of Randomized Controlled Trials. Spine (Phila Pa 1976). 2018;43(5):E299-E307.
35. Murphy GS, Szokol JW. Intraoperative Methadone in Surgical Patients: A Review of Clinical Investigations. Anesthesiology. 2019;131(3):678-92.
36. Murphy GS, Avram MJ, Greenberg SB, Shear TD, Deshur MA, Dickerson D, et al. Postoperative Pain and Analgesic Requirements in the First Year after Intraoperative Methadone for Complex Spine and Cardiac Surgery. Anesthesiology. 2020;132(2):330-42.
37. Lee D, Armaghani S, Archer KR, Bible J, Shau D, Kay H, et al. Preoperative Opioid Use as a Predictor of Adverse Postoperative Self-Reported Outcomes in Patients Undergoing Spine Surgery. J Bone Joint Surg Am. 2014;96(11):e89.
38. Dunn LK, Durieux ME, Fernández LG, Tsang S, Smith-Straesser EE, Jhaveri HF, et al. Influence of catastrophizing, anxiety, and depression on in-hospital opioid consumption, pain, and quality of recovery after adult spine surgery. J Neurosurg Spine. 2018;28(1):119-26.
39. McNicol ED, Ferguson MC, Hudcova J. Patient controlled opioid analgesia versus non-patient controlled opioid analgesia for postoperative pain. Cochrane Database Syst Rev. 2015;2015(6):CD003348.
40. Pendi A, Acosta FL, Tuchman A, Movahedi R, Sivasundaram L, Arif I, Gucev G. Intrathecal Morphine in Spine Surgery: A Meta-analysis of Randomized Controlled Trials. Spine (Phila Pa 1976). 2017;42(12):E740-E747.
41. Ilfeld BM. Continuous Peripheral Nerve Blocks: An Update of the Published Evidence and Comparison With Novel, Alternative Analgesic Modalities. Anesth Analg. 2017;124(1):308-335.
42. Chan EY, Fransen M, Parker DA, Assam PN, Chua N. Femoral nerve blocks for acute postoperative pain after knee replacement surgery. Cochrane Database Syst Rev. 2014;2014(5):CD009941.
43. Koh IJ, Choi YJ, Kim MS, Koh HJ, Kang MS, In Y. Femoral Nerve Block versus Adductor Canal Block for Analgesia after Total Knee Arthroplasty. Knee Surg Relat Res. 2017;29(2):87-95.
44. Nogawa R, Maruyama T, Kimoto Y, Yamazaki A, Kawamata T. Comparison of catheter-over-needle and catheter-through-needle on leakage from the catheter insertion site during continuous femoral nerve block. J Anesth. 2018;32(3):439-42.
45. Hollmann MW, Rathmell JP, Lirk P. Optimal postoperative pain management: redefining the role for opioids. Lancet. 2019;393(10180):1483-5.

Tablas y Figuras

Tabla I

Tabla II

Tabla III

Figura 1

Figura 2

Figura 3

Tabla IV

Tabla V

Artículos relacionados

Factores predisponentes para el dolor crónico postquirúrgico. Revisión narrativa

Rev. Soc. Esp. Dolor. 2024; 31(1): 32-39 / DOI: 10.20986/resed.2024.4131/2024

Problemas y reacciones adversas relacionados con dipirona en Colombia

Rev. Soc. Esp. Dolor. 2023; 30(4): 210-216 / DOI: 10.20986/resed.2023.4025/2022

Un caso de neuralgia amiotrófica tras vacunación frente a COVID-19

Rev. Soc. Esp. Dolor. 2023; 30(3): 187-190 / DOI: 10.20986/resed.2023.4021/2022

Bloqueo del plexo hipogástrico superior para manejo de dolor pélvico crónico no oncológico: efectividad y seguridad

Rev. Soc. Esp. Dolor. 2023; 30(2): 109-114 / DOI: 10.20986/resed.2023.4038/2022

Síndrome de dolor miofascial en la musculatura del suelo pélvico femenino. Revisión narrativa de la literatura

Rev. Soc. Esp. Dolor. 2022; 29(2): 88-96 / DOI: 10.20986/resed.2022.3970/2022

Bloqueo retrolaminar ecoguiado como analgesia para el manejo de neuralgia por herpes zóster: a propósito de un caso

Rev. Soc. Esp. Dolor. 2021; 28(6): 350-353 / DOI: 10.20986/resed.2022.3920/2021

Nuevos opioides con diferente mecanismo de acción intracelular; ¿una nueva ventana terapéutica se abre ante nosotros?

Rev. Soc. Esp. Dolor. 2021; 28(5): 292-297 / DOI: 10.20986/resed.2021.3891/2021

El problema no resuelto del dolor postoperatorio: análisis crítico y propuestas de mejora

Rev. Soc. Esp. Dolor. 2021; 28(4): 232-238 / DOI: 10.20986/resed.2021.3917/2021

Evolución de la lumbalgia en el paciente oncológico tratado con manejo intervencionista del dolor

Rev. Soc. Esp. Dolor. 2021; 28(2): 76-81 / DOI: 10.20986/resed.2021.3901/2021

Utilidad o necesidad de la ketamina en el dolor postoperatorio

Rev. Soc. Esp. Dolor. 2021; 28(2): 63-66 / DOI: 10.20986/resed.2021.3921/2021

Bloqueo del plano del erector espinal bilateral para cirugía de pectus excavatum en paciente pediátrico

Rev. Soc. Esp. Dolor. 2021; 28(1): 53-56 / DOI: 10.20986/resed.2021.3846/2020

Clínica de dolor transicional

Rev. Soc. Esp. Dolor. 2020; 27(6): 369-374 / DOI: 10.20986/resed.2020.3840/2020

Regreso al futuro en el tratamiento del dolor agudo posoperatorio

Rev. Soc. Esp. Dolor. 2020; 27(5): 285-286 / DOI: 10.20986/resed.2020.3850/2020

Fisiopatología clínica en pacientes con enfermedad de células falciformes: la transición del dolor agudo al crónico

Rev. Soc. Esp. Dolor. 2020; 27(4): 257-268 / DOI: 10.20986/resed.2020.3814/2020

Manejo del dolor irruptivo asociado a la cura de úlceras cutáneas

Rev. Soc. Esp. Dolor. 2020; 27(2): 113-126 / DOI: 10.20986/resed.2020.3755/2019

Radiofrecuencia convencional de nervios geniculados para en tratamiento de la artrosis de rodilla

Rev. Soc. Esp. Dolor. 2020; 27(1): 59-60 / DOI: 10.20986/resed.2016.3515/2016

Factores clave que afectan a la biodisponibilidad de los opioides sobre la médula espinal en el manejo del dolor agudo

Rev. Soc. Esp. Dolor. 2019; 26(6): 359-367 / DOI: 10.20986/resed.2019.3737/2019

Anestesia y analgesia epidural cervical para cirugía de miembro superior

Rev. Soc. Esp. Dolor. 2019; 26(5): 304-308 / DOI: 10.20986/resed.2019.3686/2018

Nuevas estrategias en el control del dolor postoperatorio en la cirugía de amígdalas. ¿Es oro todo lo que reluce?

Rev. Soc. Esp. Dolor. 2019; 26(5): 270-275 / DOI: 10.20986/resed.2019.3742/2019

Dolor orofacial en la clínica odontológica

Rev. Soc. Esp. Dolor. 2019; 26(4): 233-242 / DOI: 10.20986/resed.2019.3724/2019

Caracterización del dolor en las pacientes con cáncer de mama que sisten a la Unidad de Oncología del Hospital San José

Rev. Soc. Esp. Dolor. 2019; 26(4): 221-226 / DOI: 10.20986/resed.2019.3692/2018

Análisis comparativo de las constantes vitales en pacientes agudos hospitalizados en función de la intensidad de dolor

Rev. Soc. Esp. Dolor. 2019; 26(4): 215-220 / DOI: 10.20986/resed.2019.3707/2018

Buprenorfina en el dolor postoperatorio

Rev Soc Esp Dolor 2012; 19(6): 279-280

Optimización de la gestión del dolor postoperatorio basado en una nueva herramienta tecnológica. Mapa del dolor

Rev. Soc. Esp. Dolor. 2019; 26(3): 154-165 / DOI: 10.20986/resed.2019.3696/2018

Potencial terapéutico de los cannabinoides

Rev Soc Esp Dolor 2012; 20(3): 132-136

Crisis drepanocítica y tratamiento del dolor

Rev Soc Esp Dolor 2015; 22(4): 165-167

Neuralgia de Arnold en paciente en fase de prueba de SCS por síndrome de espalda fallida

Rev. Soc. Esp. Dolor. 2019; 26(2): 126-127 / DOI: 10.20986/resed.2016.3514/2016

Síndrome de dolor miofascial como causa de dolor agudo postoperatorio en la cirugía de cadera

Rev. Soc. Esp. Dolor. 2019; 26(2): 117-119 / DOI: 10.20986/resed.2019.3655/2018

Dexmedetomidina como coadyuvante en bloqueos de nervio periférico

Rev. Soc. Esp. Dolor. 2019; 26(2): 103-115 / DOI: 10.20986/resed.2018.3695/2018

Deshabituación rápida de opioides

Rev. Soc. Esp. Dolor. 2019; 26(2): 95-102 / DOI: 10.20986/resed.2019.3681/2018

Coadyuvantes farmacológicos con efecto ahorrador de opioides en el periodo perioperatorio

Rev. Soc. Esp. Dolor. 2018; 25(5): 278-290 / DOI: 10.20986/resed.2018.3663/2018

¿Dónde y cómo busco información científica fiable y de calidad? Parte VIII

Rev Soc Esp Dolor 2018: 25(3): 190 / DOI: 10.20986/resed.2017.3544/2016

El tratamiento del dolor postoperatorio. ¿Un problema sin resolver?

Rev Soc Esp Dolor 2018; 25(2): 63-65 / DOI: 10.20986/resed.2018.3668/2018

Epidural analgesia in laparoscopic radical prostatectomy

Rev Soc Esp Dolor 2018; 25(1): 13-20 / DOI: 10.20986/resed.2017.3583/2017

Bloqueo del plano transverso del abdomen ecoguiado: una técnica anestésico-analgésica en cirugía abdominal

Rev Soc Esp Dolor 2017; 24(5): 279-280 / DOI: 10/20986/resed.2016.3491/2016

Nuevos enfoques en el tratamiento del dolor agudo postoperatorio

Rev Soc Esp Dolor 2017; 24(3):132-139 / DOI: 10.20986/resed.2017.3542/2016

Factores asociados con la intensidad del dolor en pacientes mexicanos hospitalizados en periodo postoperatorio

Rev Soc Esp Dolor 2017; 24(1): 4-10 / DOI: 10.20986/resed.2016.3442/2016

Dolor postoperatorio: ¿hacia dónde vamos?

Rev Soc Esp Dolor 2017; 24(1): 1-3 / DOI: 10.20986/resed.2017.3566/2017

Prevalencia del dolor agudo postoperatorio en un servicio de cirugía gastro-intestinal y satisfacción del paciente

Méndez Prieto ML, Orejas Carbonell B, Peix Soriano N, Herrero Nogues S. Prevalencia del dolor agudo postoperatorio en un servicio de cirugía gastro-intestinal y satisfacción del paciente. Rev Soc Esp Dolor 2016; 23(5): 222-228.

¿Complementa la dosis baja de ketamina al bloqueo paravertebral?

Figueiredo González O, Zepeda Blanco C, López Pérez A, Casas García M, Gómez Viana L, Fernández Feijoó F. ¿Complementa la dosis baja de ketamina al bloqueo paravertebral?. Rev Soc Esp Dolor 2016; 23(5):218-221.

Ibuprofeno intravenoso. Experiencia clínica en Estados Unidos

Fiorda-Diaz J, Zuleta-Alarcón A, Martínez Ruiz A, Abad Gurumeta A, Torres Morera LM y Bergese SD. Ibuprofeno intravenoso. Experiencia clínica en Estados Unidos. Rev Soc Esp Dolor 2016;23(Supl. I):35-43.

Ibuprofeno intravenoso y combinaciones farmacológicas

Abad Gurumeta A, Bergese SD, Zuleta-Alarcón A, Fiorda- Díaz J, Martínez Ruiz A, Casans Francés R, Ripollés Melchor J y Calvo Vecino JM. Ibuprofeno intravenoso y combinaciones farmacológicas. Rev Soc Esp Dolor 2016;23(Supl. I):31-34.

Ibuprofeno intravenoso en Cirugía Mayor Ambulatoria

Tornero Tornero C y Fernández Rodríguez LE. Ibuprofeno intravenoso en Cirugía Mayor Ambulatoria. Rev Soc Esp Dolor 2016;23(Supl. I):27-30.

Ibuprofeno intravenoso en el tratamiento del dolor postoperatorio

Calderón E, Calderón ME, Estudillo J, Arroyo-Fernández F, Kantor L y Torres LM. Ibuprofeno intravenoso en el tratamiento del dolor postoperatorio. Rev Soc Esp Dolor 2016;23(Supl. I):21-26.

Aplicaciones del ibuprofeno intravenoso. Urgencias y áreas de cuidados críticos

Peralta C, García A, Herrera JT, Artaza L, Abad Gurumeta A, Bergese SD y Martínez Ruiz A. Aplicaciones del ibuprofeno intravenoso. Urgencias y áreas de cuidados críticos. Rev Soc Esp Dolor 2016;23(Supl. I):13-20.

Instrucciones para citar

Buriticá A, Vilá F, Montero A. Eficacia y complicaciones de las técnicas analgésicas para el tratamiento del dolor agudo postoperatorio moderado a intenso . Rev Soc Esp Dolor 2021; 28(5): 264-265 / DOI: 1020986/resed20213942/2021


Descargar a un gestores de citas

Descargue la cita de este artículo haciendo clic en uno de los siguientes gestores de citas:

Métrica

Este artículo ha sido visitado 37289 veces.
Este artículo ha sido descargado 237 veces.

Estadísticas de Dimensions


Estadísticas de Plum Analytics

Ficha Técnica

Recibido: 12/09/2021

Aceptado: 03/12/2021

Prepublicado: 07/12/2021

Publicado: 04/01/2022

Tiempo de revisión del artículo: 76 días

Tiempo de prepublicación: 86 días

Tiempo de edición del artículo: 114 días


Compartir

Este artículo aun no tiene valoraciones.
Valoración del lector:
Valora este artículo:
© 2025 Revista de la Sociedad Española del Dolor
ISSN: 1134-8046   e-ISSN: 2254-6189

      Indexada en: